Gefühlt in jedem zweiten Beitrag des Blogs zum Ideenmanagement werden irgendwelche Kennzahlen erwähnt oder es tauchen Begriffe auf wie „Prozent“, „durchschnittlich“, „Medianwert“, „Korrelation“ oder gar „Boxplotdiagramm“. Nachdem ich im vorangegangenen Blogpost die Ergebnisse des Kennzahlenvergleichs Ideenmanagement vorgestellt habe, in denen es um nichts anderes geht, reiche ich hier ein paar „Verdauungshilfen“ für all diejenigen nach, für die der Umgang mit solchen Dingen nicht tägliches Brot ist. Am Ende kommt dann aber auch noch etwas für die Liebhaber von Zahlen und Statistiken.
Prozente: Wer eine völlige Aversion gegen Zahlen hat, wird vielleicht schon bei den ersten Worten des Einleitungstexts Unbehagen verspüren. Was bedeutet denn „in jedem zweiten“? Sind damit 50 Prozent der Blogbeiträge gemeint oder die Hälfte? Noch größer könnte das Unbehagen bei der Frage werden, was nun besser ist: Wenn sich nur 8,3 Prozent der Belegschaft am Ideenmanagement beteiligen oder wenn immerhin jeder zwölfte Mitarbeiter Vorschläge einreicht? Ok – ich hoffe, dass Sie, wenn Sie dies lesen, Ihre Traumata aus der Bruch- und Prozentrechnung im Schulunterricht soweit überwunden haben…
Mittelwert: Mit den im Alltag synonym verwendeten Begriffen Mittelwert oder Durchschnitt meint man etwas, wofür der Fachbegriff „arithmetisches Mittel“ lautet.
- Viele Autofahrer berechnen regelmäßig den Durchschnittsverbrauch ihres Autos, indem sie beim Tanken die Anzahl der Liter oder Kilowattstunden durch die Anzahl der seit dem letzten Tanken gefahrenen Kilometer teilen. Wenn sich der Wert stark ändert, könnte das auf ein Problem hinweisen (Motor oder Kilometerzähler defekt).
Für viele Anwendungen liefert diese Art der Durchschnittsbildung eine sinnvolle Orientierungsgröße dafür, was „typisch“ ist und „normalerweise“ erwartet werden darf. In anderen Situationen liefert der Mittelwert jedoch ein nur unzureichendes und oft auch irreführendes Bild über die Datenmenge, aus der er berechnet wurde. Das ist meistens dann der Fall, wenn sich die Daten asymmetrisch über einen großen Bereich verteilen, oder wenn es Ausreißer weit außerhalb des Mittelfelds gibt.
Ein Beispiel zur Veranschaulichung bietet die Größenverteilung der 255 Unternehmen, die am Kennzahlenvergleich Ideenmanagement 2022 teilgenommen haben (Abbildung 1):

Abbildung 1: Größenverteilung der Unternehmen, die am Kennzahlenvergleich Ideenmanagement 2022 teilgenommen haben.
Zugegeben: Die Frage nach dem „Mittelwert“ oder nach einer „typischen Größe“ für die Anzahl der Mitarbeiter dieser Unternehmen ist völlig irrelevant und dürfte wohl für kaum jemanden interessant sein! Gerade deshalb ist dieses Beispiel vielleicht geeignet, die prinzipiellen Tücken der Durchschnittsbildung und die Vorteile des Medianwerts zu demonstrieren…
Die Frage, welche Größe „typisch“ ist, lässt sich auch so formulieren: „Welche Größen haben bei einem blinden Griff in die Menge der Unternehmen eine hohe Wahrscheinlichkeit, gegriffen zu werden?“ Es ist offensichtlich, dass dies für Unternehmen mit 500 bis 5.000 Mitarbeitern der Fall ist. In diesem Größenbereich liegt über die Hälfte (genauer: 55,6%) der teilnehmenden Unternehmen. Das arithmetische Mittel liegt mit 5.882 Mitarbeitern jedoch eindeutig außerhalb dieses Bereichs und gibt damit eine Größe vor, an der man sich besser nicht orientieren sollte! Nur 45 Unternehmen liegen darüber, aber 210 darunter (siehe Abbildung 2).
Medianwert: Hier hilft der sogenannte „Medianwert“. Er kann die Funktion als „Maß für das mit hoher statistischer Wahrscheinlichkeit Erwartbare“ oft besser erfüllen als das arithmetische Mittel, weil er gegen extreme Ausreißer weitgehend robust ist. Zwar wird der Fachbegriff „Median“ im Alltag fast nie verwendet, dennoch steht er für eine intuitive Bedeutung, die jeder kennt: Er bezeichnet schlichtweg die „Mitte“.
- Stellen Sie sich eine Gruppe von Menschen mit unterschiedlichen Körpergrößen vor, die Sie in zwei gleichgroße Teilgruppen, die „Kleineren“ und die „Größeren“, einteilen wollen. Wie machen Sie das? Am einfachsten ist es, wenn sich alle der Größe nach hinstellen und Sie die Reihe genau in der Mitte teilen. Die Größe der Person in der Mitte ist der Medianwert der Größen in der Gesamtgruppe (jedenfalls bei einer ungeraden Anzahl von Personen; bei einer geraden Anzahl ist es der Mittelwert der beiden mittleren Personen).
Der Medianwert der Größe bei den erwähnten 255 Unternehmen beträgt 1.400 Mitarbeiter. Definitionsgemäß ist jeweils eine Hälfte der Unternehmen größer bzw. kleiner. Er wird der tatsächlichen Größenverteilung also eher gerecht als der oben genannte Mittelwert von 5.882 Mitarbeitern. Abbildung 2 veranschaulicht den Unterschied zwischen dem „arithmetischen Mittel“ (Durchschnittswert, Mittelwert) und dem „Medianwert“:
- Der Medianwert liegt immer dort, wo sich die Gesamtheit der Daten in zwei gleich große Hälften teilt: In eine Hälfte, deren Werte darüber, und eine, deren Werte darunter liegen.
- Beim „arithmetischen Mittel“ kann es dagegen passieren, dass es die Gesamtheit in zwei sehr unterschiedlich große Mengen teilt – wie erwähnt, im Fall der 255 Teilnehmer am Kennzahlenvergleich in eine große Menge von 210 Unternehmen (82%), deren Mitarbeiteranzahl kleiner als der „Mittelwert“ ist, und in eine kleine Menge von nur 45 Unternehmen (18%), deren Mitarbeiteranzahl größer als der „Mittelwert“ ist.

Abbildung 2: Lage des „Medianwerts“ und des „arithmetischen Mittels“ für die Anzahl der Mitarbeiter.
Der Medianwert ist als Orientierungsgröße immer dann besser, wenn es zu großen Abweichungen von dem Bereich kommen kann, in dem sich die überwiegende Mehrheit der Zahlenwerte befindet. Schauen wir uns unter diesem Gesichtspunkt ein paar Kennzahlen des Ideenmanagements an.
- Die Vorschlagsquote liegt in der Hälfte der Unternehmen zwischen 0 VV/MA und dem Medianwert 0,16 VV/MA. Den Werten der anderen Hälfte ist nach oben (theoretisch) keine Grenze gesetzt. Der Mittelwert beträgt 0,31 VV/MA. Nur 65 Unternehmen, also etwas mehr als ein Viertel aller Teilnehmer, haben Beteiligungsquoten, die über diesem Mittelwert liegen.
- Bei der Einsparungsquote ist die Situation noch extremer. Die „Mitte“ (der „Median“) liegt bei 116 €/MA. Auch hier gibt es nach oben (theoretisch) keine Grenze. Der Mittelwert beträgt 345 €/MA. Über vier Fünftel (81%) der Unternehmen haben Einsparungsquoten, die unter diesem Wert liegen, bei nur knapp einem Fünftel (19%) liegt die Einsparungsquote darüber. Wer eine Einsparung in Höhe von 200 €/MA erzielt, sollte sich also lieber darüber freuen, zur oberen Hälfte zu gehören, anstatt sich zu ärgern, unter dem Mittelwert zu liegen!
Fazit: Wenn man eine große Menge im Hinblick auf eine bestimmte Eigenschaft mit einem einzigen Wert charakterisieren möchte, der ausdrücken soll, was unter statistischen Gesichtspunkten „typisch“ oder „normal“ ist, dann ist der Medianwert in den meisten Fällen besser geeignet als das arithmetische Mittel. Oder anders formuliert: Wer nur Mittelwerte anstelle von Medianwerten kommuniziert, muss dafür gute Gründe haben. Liegen diese nicht auf der Hand oder werden nicht erläutert, ist Misstrauen gegenüber der Quelle angesagt!
Boxplotdiagramm: Wie erwähnt, teilt der Medianwert eine Menge in einer „obere“ und eine „untere“ Hälfte. Wenn man einen Schritt weiter geht, kann man alle Werte auch in Viertel unterteilen. Genau das wird im sogenannten „Boxplotdiagramm“ getan. Es teilt die Spanne zwischen dem kleinsten und dem größten vorkommenden Wert in vier Bereiche. Und zwar so, dass in jedem Bereich jeweils ein Viertel der Werte liegt.
Wie man sich die Entstehung eines Boxplotdiagramms vorstellen kann, sehen Sie in den folgenden Bildern:
- Im ersten Schritt wird die Spanne zwischen dem kleinsten und dem größten Wert in vier Bereiche unterteilt, so dass in jedem Bereich jeweils ein Viertel der Werte liegt (Abbildung 3).

Abbildung 3: „Viertelung“ des Wertebereichs.
- Im zweiten Schritt werden die Bereiche des untersten und des obersten Viertels durch Striche ersetzt. Deren Enden markieren die Lage des kleinsten und des größten Werts.
- Die beiden mittleren Bereiche werden durch einen Kasten ersetzt (daher der Name „Box“plot). Die Querlinie im Kasten zeigt an, wo der Medianwert liegt (Abbildung 4).

Abbildung 4: Ein „liegendes Boxplotdiagramm“ zeigt, wo das Minimum und das Maximum der Werte liegen, und wie sich dazwischen jeweils die Viertel aller Werte verteilen.
- Meistens werden Boxplotdiagramme nicht liegend, sondern senkrecht gezeichnet. Das ist in Abbildung 5 gezeigt.

Abbildung 5: Das fertige Boxplotdiagramm für die Anzahl der Mitarbeiter in den Unternehmen, die am Kennzahlenvergleich Ideenmanagement 2022 teilgenommen haben.
- Boxplotdiagramme liegen mit ihrem Informationsgehalt zwischen dem Medianwert und einem Diagramm wie dem in Abbildung 1 gezeigten. Der Unterschied zwischen Abbildung 1 und Abbildung 5 wird in Abbildung 6 deutlich.

Abbildung 6: Boxplotdiagramm im Vergleich zu einem (hier gedrehten) Säulendiagramm.
Der Nachteil, dass Boxplotdiagramme ein gröberes Bild der Verteilung geben als ein Säulendiagramm, wird für viele Zwecke dadurch mehr als wettgemacht, dass die Übersicht dank der Komprimierung in nur vier Bereiche steigt. Das ist vor allem nützlich, wenn man verschiedene Untergruppen vergleichen möchte – was etwa bei der Betrachtung von Zusammenhängen und Korrelationen der Fall ist.
Korrelation: Das Wort „Korrelation“ bedeutet nichts anderes, als dass zwei Größen in ihrem Verhalten irgendwie miteinander zusammenhängen. Ein einfaches und intuitiv verständliches Beispiel für einen Zusammenhang ist, dass der Sprit- oder Stromverbrauch des Autos um so höher ist, je schneller man fährt („positive Korrelation“). Ein Beispiel für eine negative Korrelation ist, dass die Zeit, bis das Nudelwasser kocht, um so kürzer ist, je höher die Herdplatte eingestellt ist. In beiden Beispielen beruht der Zusammenhang (die Korrelation) auf einer direkten und eindeutigen Ursache-Wirkungs-Beziehung.
Es gibt jedoch auch viele Fälle, in denen unklar ist, was nun Ursache und was Wirkung ist. Oft kommt es auch vor, dass sich beide Größen gar nicht gegenseitig beeinflussen, sondern sich nur deshalb so verhalten, weil sie beide von einer dritten Größe abhängen. Je komplexer eine Thematik ist, desto mehr Einflussfaktoren können eine Rolle spielen.
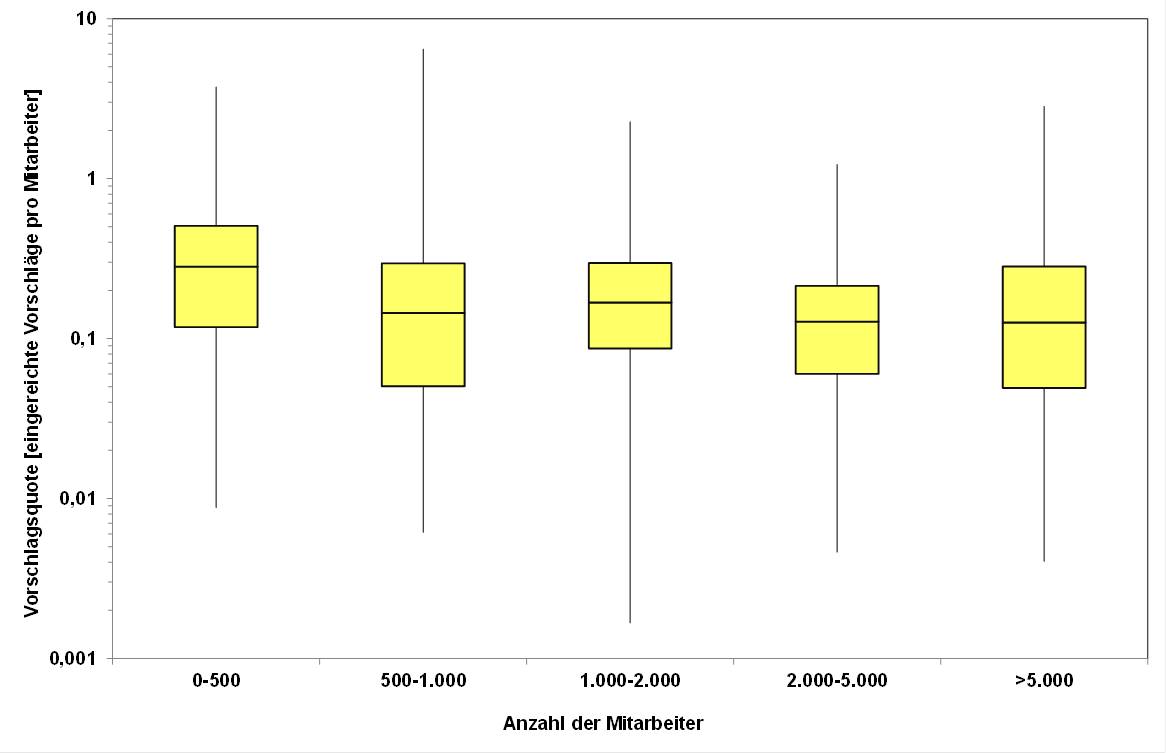
Betrachten wir zwei Beispiele aus dem Ideenmanagement. Um zu erkennen, ob es einen Zusammenhang zwischen der Unternehmensgröße und der Vorschlagsquote gibt, habe ich die Unternehmen nach ihrer Größe in fünf Untergruppen unterteilt und für jede Untergruppe ein Boxplotdiagramm der Vorschlagsquote erstellt. Das Ergebnis sehen Sie in Abbildung 7.

Abbildung 7: Boxplotdiagramme der Vorschlagsquote für fünf nach Größe unterteilte Gruppen von Unternehmen.
Man kann in dieses Bild hineindeuten, dass in der Gruppe „unter 500 Mitarbeiter“ tendenziell häufiger höhere Vorschlagsquoten auftreten könnten – gleichzeitig wird man aber zugeben müssen, dass ein eventueller Zusammenhang zwischen Vorschlagsquote und Unternehmensgröße sehr gering ist (wenn überhaupt vorhanden).
Anders sieht es aus, wenn man die Unternehmen nach ihrer Beteiligungsquote in vier Untergruppen unterteilt und wieder für jede Untergruppe ein Boxplotdiagramm der Vorschlagsquote erstellt. Das Ergebnis sehen Sie in Abbildung 8.

Abbildung 8: Boxplotdiagramme der Vorschlagsquote für vier nach Beteiligungsquote unterteilte Gruppen von Unternehmen.
Hier wird doch sehr deutlich, dass die Beteiligungs- und Vorschlagsquoten zusammenhängen. Das ist auch nicht verwunderlich: Schließlich trägt jeder weitere Einreicher nicht nur zu einer Erhöhung der Beteiligungsquote bei, sondern bringt auch (mindestens) einen weiteren Vorschlag mit (bzw. bei Gruppenvorschlägen einen Anteil eines Vorschlags), der damit die Vorschlagsquote erhöht.
Die gebräuchlichste Art, in der Korrelationen sichtbar gemacht werden, sind Streudiagramme („Punktwolken“) wie das in Abbildung 9 gezeigte. Solche Diagramme werden deshalb oft auch „Korrelationsdiagramme“ genannt. Der Vorteil ist, dass in ihnen alle Datenpunkte sichtbar sind; der Nachteil, dass sie bei schwachen Zusammenhängen unübersichtlich sind und man vor lauter Bäumen (Datenpunkten) den Wald (die Korrelation) nicht sieht. Da der Zusammenhang zwischen Beteiligungs- und Vorschlagsquoten so stark ist, ist diese Korrelation jedoch auch in Abbildung 9 gut erkennbar.

Abbildung 9: Korrelationsdiagramm („Streudiagramm“, „Punktwolke“) mit Vorschlagsquote und Beteiligungsquote (fiktive Werte). /Teilnehmer am Kennzahlenvergleich finden das entsprechende Diagramm mit den realen Werten auf den Seiten 8 und 34 ihres individuellen Ergebnisberichts./
In dieses Korrelationsdiagramm kann man nun wieder die Lagen der Medianwerte mit Linien eintragen und damit die Fläche in vier Felder unterteilen (Abbildung 10).

Abbildung 10: Korrelationsdiagramm mit Vorschlagsquote und Beteiligungsquote (fiktive Werte).
Hier wird sichtbar, dass die Verteilung der Werte auf diese vier Felder sehr unterschiedlich ist: Nimmt man die tatsächliche Verteilung beim Kennzahlenvergleich Ideenmanagement 2023 und zählt nach, dann ergibt sich, dass sich links unten und rechts oben jeweils 45% aller Werte befinden, links oben und recht unten dagegen nur jeweils 5% (Abbildung 11).

Abbildung 11: Korrelationsdiagramm mit Vorschlagsquote und Beteiligungsquote (fiktive Werte).
Mit diesen Prozentwerten kann man die Stärke einer Korrelation auch ganz ohne Diagramm in einer einfachen Tabelle sichtbar machen. Sie erkennen in der Matrix in Abbildung 12 sofort die Struktur der vier Felder wieder:

Abbildung 12: Matrix mit dem Anteil der Werte jeweils ober- und unterhalb der Medianwerte für die Vorschlags- bzw. Beteiligungsquote im Kennzahlenvergleich Ideenmanagement 2022.
In einem Korrelationsdiagramm der Vorschlagsquote mit der Anzahl der Mitarbeiter sind die Punkte dagegen relativ gleichmäßig über die gesamte Fläche verteilt. In jedem Feld liegen dann ungefähr gleich viele Punkte. Die entsprechende Tabelle für den Zusammenhang zwischen der Anzahl der Mitarbeiter und der Vorschlagsquote sieht daher so aus:

Abbildung 13: Matrix mit dem Anteil der Werte jeweils ober- und unterhalb der Medianwerte für die Vorschlagsquote und die Anzahl der Mitarbeiter im Kennzahlenvergleich Ideenmanagement 2022.
Die Information über das Vorliegen bzw. die Stärke einer Korrelation lässt sich noch weiter verdichten und in einer einzigen Zahl ausdrücken: Dem sogenannten „Korrelationskoeffizienten“. Es gibt mathematische Verfahren, ihn zu berechnen, die man nicht kennen muss. Es reicht zu wissen, dass er nur Werte zwischen -1 und +1 annimmt.
- Starke positive Korrelationen (wie die zwischen Geschwindigkeit und Verbrauch) haben Werte nahe +1, starke negative (wie die Zeitdauer zum Erhitzen mit der Heizstufe) Werte nahe -1. Liegt der Korrelationskoeffizient nah bei Null, besteht keine Korrelation.
- In den erwähnten Beispielen zum Ideenmanagement beträgt der Korrelationskoeffizient zwischen Beteiligungs- und Vorschlagsquoten etwa 0,9, der Korrelationskoeffizient zwischen der Anzahl der Mitarbeiter und der Vorschlagsquote etwa -0,2 (Hinweis für Experten: Genannt sind hier die Rangkorrelationskoeffizienten nach Spearman).
In den Ergebnisberichten für die Teilnehmer am Kennzahlenvergleich werden alle vier hier vorgestellten Varianten zur Veranschaulichung von Zusammenhängen verwendet: Korrelationsdiagramme wie in Abbildung 9, Zusammenstellungen von Boxplotdiagrammen wie in den Abbildungen 7 und 8, Tabellen wie in den Abbildungen 12 und 13 und die Nennung der Korrelationskoeffizienten.
Nachschlag für die Liebhaber von Zahlen und Statistiken
Grenzen der Mittelung: Folgendes Beispiel fand ich auf der Webseite statista.com:
- „Vier Freunde trinken an einem Abend Bier. Karl trinkt sechs Gläser, Hauke fünf, Paul ein Glas und Carsten keins. Zusammen haben die Freunde also 12 Gläser Bier getrunken (12 = 6+5+1+0). Das teilt man nun durch die Anzahl aller Beteiligten (4) und kommt so darauf, dass jeder im Durchschnitt 3 Gläser Bier getrunken hat.“
In diesem Fall ist der Medianwert gleich dem arithmetischen Mittel (Durchschnittswert) und beträgt ebenfalls 3 (zwei Werte darüber, zwei darunter). Kennte man nur diesen Wert, würde man zu einer falschen Einschätzung des Gesamtbilds verleitet: Bei einem Schnitt von drei Gläsern Bier würde man wohl keinen der Vier gern ans Steuer lassen. Tatsächlich sitzen jedoch neben zwei eher angetrunkenen auch zwei nüchterne Personen am Tisch.
Um beurteilen zu können, ob die Ermittlung eines Median- oder Durchschnittswerts überhaupt sinnvoll ist, muss man sich die Struktur der Daten ansehen. Dazu kann man beispielsweise die Diagramme in Abbildung 1 oder in Abbildung 9 nutzen.
- Im Ideenmanagement gibt es seit jeher eine ähnliche Problematik wie bei den vier Freunden. Nur ein kleiner Teil der umgesetzten Vorschläge bewirkt eine errechnete finanzielle Einsparung. Bei der großen Mehrheit der anderen ist die errechnete Einsparung: Null. Trotzdem bildet man einen Mittelwert von allen: Die „errechnete Einsparung pro umgesetzten Vorschlag“.
- Nehmen wir an, zwei gleich große Unternehmen erzielen die gleiche errechnete Einsparung in Höhe von 100.000 Euro, die von jeweils 2 umgesetzten Vorschlägen bewirkt werden. Bei beiden beträgt die Einsparung pro rechenbaren Vorschlag also 50.000 Euro. Das eine der beiden setzt insgesamt 100 Vorschläge um, das andere nur 10. Dann verzeichnet das erste Unternehmen eine „Einsparung pro umgesetzten Vorschlag“ in Höhe von („nur“) 1.000 Euro/uVV, das zweite stolze 10.000 Euro/uVV.
- Für wie aussagekräftig halten Sie die Information über die „Einsparung pro umgesetzten Vorschlag“, um das Ideenmanagement in den beiden Unternehmen zu beurteilen?
Interessanter wäre doch eher, wie hoch der „Anteil der rechenbaren an den umgesetzten Vorschlägen“ ist (er liegt bei knapp zwei Drittel der Teilnehmer am Kennzahlenvergleich Ideenmanagement unter 20%), und wie hoch die durchschnittliche „Einsparung pro Vorschlag mit errechneter Einsparung“ ist (hier liegt der Medianwert bei gut 10.000 Euro/rVV). Meines Erachtens wirklich wichtig im Hinblick auf die Einsparung ist aber am Ende nur ein Wert: Die „errechnete Einsparung pro Mitarbeiter“.
Kennzahlen im Ideenmanagement: Wer richtig tief in die Grundlagen für Statistik und Benchmarking im Ideenmanagement einsteigen möchte, dem empfehle ich die neue Veröffentlichung „Kennzahlen im Ideenmanagement“ von Peter Koblank. Eine Stärke der Ausarbeitung liegt darin, dass eine fundierte und differenzierte Betrachtung der Merkmale eines Ideenmanagements mit den Erkenntnissen aktueller Kennzahlenvergleiche kombiniert wird. Das macht diese Schrift nicht nur für die erklärten Liebhaber von Zahlen und Statistiken lesenswert.
Probieren Sie aus, wieviel Spaß und Erkenntnisgewinn Zahlen und Statistik bringen können! Machen Sie mit beim Kennzahlenvergleich Ideenmanagement!
Ein nach Stichworten sortiertes Verzeichnis mit Links auf alle bisher erschienenen Beiträge im Blog zum Ideenmanagement finden Sie in diesem Register.
Alle Erwähnungen von Unternehmen und Produkten sind redaktioneller Natur und wurden nicht bezahlt.

Dr. Hartmut Neckel
Dr. Hartmut Neckel ist einer der profiliertesten Vordenker und erfahrensten Praktiker im Themenbereich Ideenmanagement, Innovation und kontinuierliche Verbesserungsprozesse.