Möchten Sie, dass Ihr Ideenmanagement erfolgreicher wird? Ja? Und möchten Sie wissen, was dafür die besten Chancen bietet? Ebenfalls Ja? Wunderbar! Auf der Basis harter Zahlen, Daten, Fakten untersucht dieser Blogbeitrag, bei welchen Maßnahmen und Rahmenbedingungen sich die stärksten Zusammenhänge mit einem erfolgreichen Ideenmanagement zeigen. So können Sie Ihre Ressourcen gezielt dort einsetzen, wo noch am ehesten etwas zu holen ist.
Eine Vorbemerkung zu „Erfolg“
Ob Sie erfolgreich sind, erkennen Sie an Ihren Erfolgskriterien, die Sie aus Ihren Zielen ableiten können. Hier benutze ich die Werte der zentralen Kennzahlen als Erfolgskriterien, so dass ein Ideenmanagement in verschiedener Hinsicht mehr oder weniger erfolgreich sein kann: beispielsweise im Hinblick auf die Beteiligungs- und Vorschlagsquote, auf den erzielten Nutzen durch umgesetzte Verbesserungen und Einsparungen, oder auf den Umsetzungsanteil. Der Einfachheit halber werde ich in diesem Blogbeitrag Werte, die jeweils in der oberen Hälfte liegen, als „erfolgreich“ einstufen. Mehr zu Ziel- und Erfolgsdimensionen im Ideenmanagement finden Sie im Blogbeitrag „Wozu Ideenmanagement? – Erfolgskriterien“.
Eine Vorbemerkung zu „Zusammenhang“
In einer früheren Serie von Blogbeiträgen hatten wir 9 Erfolgsfaktoren beschrieben: Themenfelder, die in und von Unternehmen „beackert“ werden müssen, um ein Ideenmanagement erfolgreich mit Leben zu füllen. Dabei handelte es sich um eine erfahrungsbasierte Heuristik, die aus Beobachtungen nach dem Motto entstand „wo sich gute Ergebnisse finden, da sind die Verhältnisse so und so“ (am Ende des Blogbeitrags „3×3 Erfolgsfaktoren des Ideenmanagements – ein Überblick“ finden Sie die Links auf die Posts zu jedem einzelnen Erfolgsfaktor).
Schon damals hatten wir darauf hingewiesen, dass sich nicht immer sagen lässt, ob es sich bei den identifizierten Verhältnissen tatsächlich um Erfolgsfaktoren handelt, die ursächlich beeinflussen, ob bzw. wie sehr das Ideenmanagement den gewünschten Erfolg hat. Es ist auch denkbar, dass ein Ursache-Wirkungs-Zusammenhang in die andere Richtung besteht: weil das Ideenmanagement erfolgreich ist (oder nicht), besteht die Bereitschaft (oder keine), die Verhältnisse so und so zu gestalten. Ebenso ist denkbar, dass gar keine direkte Wechselwirkung besteht, sondern sowohl die Ergebnisse als auch die Verhältnisse auf ganz andere Ursachen zurückzuführen sind, die sich womöglich einer direkten Beobachtung entziehen (siehe Abbildung 1). Und schließlich können auch alle Effekte gleichzeitig vorhanden sein, vielleicht in unterschiedlichen „Mischungsverhältnissen“ je nach Unternehmen.

Abb. 1: Bei Zusammenhängen ist nicht immer klar, was „Henne“ und was „Ei“ ist, sie können direkt oder indirekt sein, sie können kombiniert sein, und sie können auch gar nicht vorhanden sein…
Gleichwohl dürften Maßnahmen und Rahmenbedingungen, bei denen sich stärkere Zusammenhänge mit „Erfolg“ zeigen, interessanter als andere sein, und es dürfte sich bei ihnen mehr lohnen, genauer hinzuschauen und sich Gedanken um mögliche Wechselwirkungen und Hintergründe zu machen. Das ist das Programm der nachfolgenden Abschnitte.
Die Messung der „Zusammenhangsstärke“
In Mathematik und Statistik bezeichnet man einen Zusammenhang zwischen zwei Messgrößen als „Korrelation“ und nutzt als Maß für deren Stärke „Korrelationskoeffizienten“ (mehr darüber finden Sie im Blogbeitrag „Kennzahlen und Statistik für Zahlen- und Statistikhasser“). Nun ist die Berechnung von Korrelationskoeffizienten für Nicht-Mathematiker nicht gerade eingängig. Daher nutze ich für die Messung der „Zusammenhangsstärke“ eine andere Methode. Sie kommt zu denselben Aussagen (jedenfalls im Rahmen der Genauigkeit, die bei einem Kennzahlenvergleich im Ideenmanagement überhaupt zu erwarten ist), ist aber vielleicht leichter nachvollziehbar.
- Dazu ermittle ich bei jeder Kennzahl den Wert, der jeweils die „obere“ und „untere“ Hälfte der Unternehmen trennt: den sogenannten Medianwert. Im Jahr 2024 betrug der Medianwert der Vorschlagsquote beispielsweise 0,16 VV/MA (VV/MA = Verbesserungsvorschläge pro Mitarbeiter). Eine Hälfte der Unternehmen wies geringere Vorschlagsquoten auf, die andere höhere.
- Dann unterteile ich die Gesamtmenge der Unternehmen je nach betrachtetem Zusammenhang in zwei Gruppen: Gruppe A, die ein bestimmtes Merkmal aufweist (z.B. eine bestimmte Rahmenbedingung gegeben ist oder eine bestimmte Maßnahme praktiziert wird), und Gruppe B, bei der das nicht der Fall ist.
- Bei beiden Gruppen ermittle ich, wie groß jeweils der prozentuale Anteil der Unternehmen ist, der über dem anfangs ermittelten Medianwert liegt (also bei der betrachteten Kennzahl zur oberen Hälfte gehört).
- Wenn der Anteil bei Gruppe A deutlich höher als bei Gruppe B ist, besteht eine gute Chance, dass ein positiver Zusammenhang zwischen dem betrachteten Merkmal und einer „erfolgreichen“ Kennzahl besteht.
- Die Differenz der prozentualen Anteile von Gruppe A und Gruppe B nutze ich als Maß für die „Zusammenhangsstärke“.
- Wie das funktioniert, sehen Sie gleich anhand der Vorschlagsquote beim ersten Beispiel.
Im Unterschied zur Betrachtung der oben erwähnten 9 Erfolgsfaktoren wird nun möglich, Zusammenhänge auf der Ebene einzelner Maßnahmen, spezifischer Praktiken und konkreter Rahmenbedingungen zu untersuchen. Das seit 2021 durchgeführte ergänzende Benchmarking der „Kennzahlenvergleiche Ideenmanagement“ liefert mittlerweile die Werte der „Zusammenhangsstärken“ für rund 80 verschiedene Merkmale, die vorhanden sein können – oder auch nicht. Mit jedem Jahr kommen zu dieser Liste weitere hinzu.
Beispiele für vergleichsweise „starke“ Zusammenhänge
In Blogbeiträgen zu Ergebnissen des „Kennzahlenvergleichs Ideenmanagement“ hatte ich immer wieder ausgewählte Zusammenhänge mit Themen des ergänzenden Benchmarkings vorgestellt. Einige dieser Beispiele greife ich nochmals auf und ordne sie im Hinblick auf ihre „Zusammenhangsstärke“ ein.
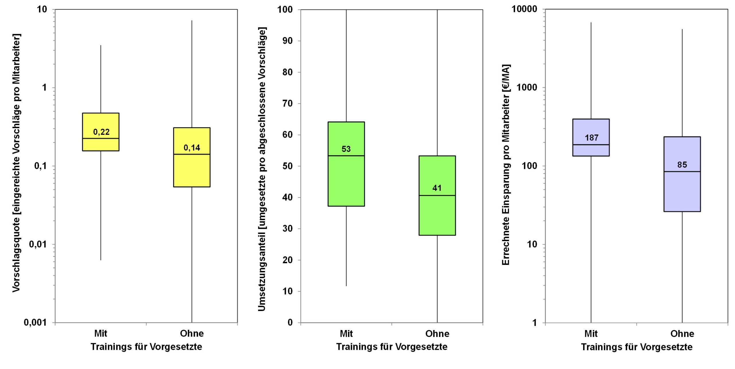
Beispiel 1 „Qualifizierung“: Im Blogbeitrag „Mehr, besser, lohnender: Wie Sie das Olympische Motto auf Ideen ummünzen“ ging es u.a. um „Trainings für Vorgesetzte“ und „systematische Ausbildung, Fortbildung für Mitarbeiter“, die im ergänzenden Benchmarking des „Kennzahlenvergleichs Ideenmanagement 2023“ als Ansatzpunkte zur Erhöhung der Einsparung und/oder der Vorschlagsqualität abgefragt worden waren. Der Unterschied zwischen der Gruppe „mit solchen Maßnahmen“ und der Gruppe „ohne solche Maßnahmen“ war dort in Nebeneinanderstellungen von Boxplotdiagrammen für die Vorschlagsquote, den Umsetzungsanteil und die Einsparungsquote veranschaulicht worden, die hier nochmal in den Abbildungen 2 und 3 gezeigt sind.

Abb. 2: Vergleich der Boxplotdiagramme für Vorschlagsquote, Umsetzungsanteil und Einsparungsquote zwischen Unternehmen mit und ohne „Trainings für Vorgesetzte“

Abb. 3: Vergleich der Boxplotdiagramme für Vorschlagsquote, Umsetzungsanteil und Einsparungsquote zwischen Unternehmen mit und ohne „Systematische Ausbildung, Fortbildung für Mitarbeiter“
Nun sieht man den Abbildungen 2 und 3 zwar direkt an, dass die Gruppen mit den jeweiligen Qualifizierungsmaßnahmen bei allen betrachteten Kennzahlen „irgendwie besser“ dastehen als die anderen Gruppen. Aber es ist sehr schwer, dieses „irgendwie“ anhand der Diagramme so zu quantifizieren, dass man die Effekte mit einer größeren Aussagekraft vergleichen könnte.
Als Ergänzung zum Vergleich der Boxplotdiagramme lassen sich nun die „Zusammenhangsstärken“ nutzen, die in folgender Tabelle gezeigt sind:

Tabelle 1: Bei der Gruppe der Unternehmen, für die das Merkmal zutrifft, ist der prozentuale Anteil, der bei den Kennzahlen zur oberen Hälfte gehört, um die angegebene Punktzahl höher als bei der anderen Gruppe
Hier folgt nun die angekündigte Erklärung der Berechnung am Beispiel der „Zusammenhangsstärke“ zwischen „Trainings für Vorgesetzte“ und „Vorschlagsquote“:
- Von den Unternehmen, die „Trainings für Vorgesetzte“ durchführen, haben 71% eine Vorschlagsquote oberhalb des Medianwerts von 0,16 VV/MA.
- In der Gruppe der Unternehmen, die dies nicht tun, sind es nur 44%.
- Aus der Differenz 71 minus 44 ergibt sich die „Zusammenhangsstärke“ = 27.
Beispiel 2 „Ziele & Aufgabenzuweisung“: Im ergänzenden Benchmarking des „Kennzahlenvergleichs Ideenmanagement 2024“ war nach Ansatzpunkten zur Motivation, Unterstützung, Entlastung von Gutachtern und Entscheidern gefragt worden. Einer der Ansatzpunkte mit relativ hoher „Zusammenhangsstärke“ war „klare Zielvorgaben und Aufgabenzuweisung durch die Unternehmensleitung“. Zum Vergleich sind in folgender Tabelle auch die Werte für „Schulungen“ angegeben.

Tabelle 2: Bei der Gruppe der Unternehmen, für die das Merkmal zutrifft, ist der prozentuale Anteil, der bei den Kennzahlen zur oberen Hälfte gehört, um die angegebene Punktzahl höher als bei der anderen Gruppe
Beispiel 3 „Beteiligungs-, Vorschlags- und Umsetzungsquote“: Die weitaus stärksten Zusammenhänge zeigen sich zwischen den Beteiligungs-, Vorschlags- und Umsetzungsquoten. Von den Unternehmen, die bei einer dieser Kennzahl zur oberen Hälfte gehören, finden sich über 80% auch bei den anderen beiden Kennzahlen in der oberen Hälfte.
Die Tabelle 3 zeigt die „Zusammenhangsstärken“ (der Vollständigkeit halber auch die erheblich geringeren mit der Einsparungsquote):

Tabelle 3: Bei der Gruppe der Unternehmen, für die das Merkmal zutrifft, ist der prozentuale Anteil, der bei den Kennzahlen zur oberen Hälfte gehört, um die angegebene Punktzahl höher als bei der anderen Gruppe
Dass die Stärke dieser Zusammenhänge seit über 25 Jahren unverändert ist, hatte ich im schon erwähnten Blogbeitrag „Kennzahlenvergleich Ideenmanagement 2024 – Ergebnisse 2: Begutachtung und Entscheidung“ gezeigt.
Beispiele für vergleichsweise „schwache“ und „negative“ Zusammenhänge
Die folgende Tabelle zeigt einige Beispiele für eher „schwache“ und „negative“ Zusammenhänge. Bei diesen ist eine sorgfältige Interpretation noch wichtiger als bei den stärkeren Zusammenhängen. Bitte beachten Sie daher den nächsten Abschnitt zu Interpretationen und Konsequenzen!

Tabelle 4: Bei der Gruppe der Unternehmen, für die das Merkmal zutrifft, ist der prozentuale Anteil, der bei den Kennzahlen zur oberen Hälfte gehört, um die angegebene Punktzahl höher als bei der anderen Gruppe
Interpretationen und Konsequenzen für die Praxis
Im Folgenden gehe ich die Beispiele der Reihe nach durch, um mein Verständnis der Bedeutung der gefundenen „Zusammenhangsstärken“ darzulegen, an der einen und anderen Stelle auch Warnhinwiese zu geben.
Beispiele 1 und 2: Es wäre plausibel, dass Qualifizierungsmaßnahmen ebenso wie klare Zielvorgaben und Aufgabenzuweisung durch die Unternehmensleitung ursächlich zu besseren Ergebnissen beitragen. Wie erwähnt, ist ebenso denkbar, dass sie gar nicht so sehr als direkte Ursache wirksam sind, sondern eher Indikatoren dafür sind, dass das Ideenmanagement im Unternehmen einen hohen Stellenwert hat und dieser hohe Stellenwert die „eigentliche Ursache“ für die guten Ergebnisse ist.
- Wenn Ihr Unternehmen bei den Kennzahlen zur unteren Hälfte gehört und diese Ansatzpunkte bislang nicht nutzt, könnte es einen Versuch wert sein, mit diesen Ansatzpunkten bessere Ergebnisse zu erreichen.
- Wie die Boxplotdiagramme in den Abbildungen 2 und 3 zeigen und sich aus den Werten der „Zusammenhangsstärken“ schließen lässt, gibt es durchaus Unternehmen, die zur unteren Hälfte gehören, obwohl sie diese Ansatzpunkte bereits nutzen. Wenn Sie zu diesen Unternehmen zählen, könnten Sie nach anderen Ansatzpunkten Ausschau halten, die statistisch gesehen ein „Must-have“ sind, aber bei Ihnen vielleicht fehlen.
- Umgekehrt gibt es auch Unternehmen, die diese Ansatzpunkte nicht nutzen und trotzdem zur oberen Hälfte gehören. Dann können Sie sie für weitere Steigerungen zu nutzen versuchen oder sie in petto behalten, falls einmal Rückgängen mit neuen Maßnahmen begegnet werden muss.
Beispiele 3: Wenn Sie häufiger im Blog zum Ideenmanagement lesen, werden Ihnen vielleicht folgende Aussagen zu den Konsequenzen der Zusammenhänge zwischen Beteiligungs-, Vorschlags-, Umsetzungs- und Einsparungsquote bekannt vorkommen:
- Wer eine Steigerung der Beteiligungsquote anstrebt (etwa im Interesse der Partizipation), muss mit hoher Wahrscheinlichkeit damit rechnen, dass sich auch die Vorschlagsquote erhöht. Er tut also gut daran, sich für die Bearbeitung einer größeren Anzahl von Vorschlägen zu wappnen.
- Wer mehr Verbesserungen realisieren möchte, wird diesem Ziel mit hoher Wahrscheinlichkeit näherkommen, wenn er sich um eine höhere Vorschlagsquote bemüht, und diese erreicht er mit hoher Wahrscheinlichkeit leichter, wenn er die Beteiligung fördert.
- Wer versucht, eine höhere Einsparungsquote durch eine Steigerung der Vorschlags- und Beteiligungsquoten zu erreichen, sollte nicht gar zu zuversichtlich sein. Die Wahrscheinlichkeit, dass das auf diesem Wege gelingt, ist mit 50-60% deutlich geringer als die Wahrscheinlichkeiten in den beiden zuvor genannten Entwicklungsszenarien.
Beispiel 4: Es deckt sich mit allen anderen Erfahrungen und Erhebungen, die ich je gemacht habe, dass zwischen der Prämienhöhe und anderen Kennzahlen kein statistisch relevanter Zusammenhang besteht. Mehr dazu finden Sie auch im Blogbeitrag „Prämien im Ideenmanagement – Warum und Wozu?“.
Beispiel 5: Für die bei Obergrenzen gefundenen „Zusammenhangsstärken“ sehe ich vor allem zwei Interpretationsmöglichkeiten, die wahrscheinlich sich ergänzend zusammenkommen:
- Das Vorhandensein (oder Nicht-Vorhandensein) einer Obergrenze hat eine Signalwirkung, die sich negativ (oder positiv) auf die Motivationslage von Einreichern und damit direkt auf die Ergebnisse auswirkt.
- Das Vorhandensein (oder Nicht-Vorhandensein) einer Obergrenze ist Ausdruck einer Kultur und Denkweise, die dem Ideenmanagement insgesamt abträglich (oder zuträglich) ist, und sich darüber indirekt auf die Ergebnisse auswirkt.
Weitere Gesichtspunkte und Argumente (auch solche, die trotzdem für Obergrenzen sprechen) finden Sie in dem bereits erwähnten Blogbeitrag „Prämien im Ideenmanagement – Warum und Wozu?“.
Beispiel 6: Dieses Beispiel möchte ich nutzen, um vor einer Überbewertung der „Zusammenhangsstärken“ zu warnen. Man könnte ja versucht sein, die Unterschiede dahingehend zu interpretieren, dass die Ideeneingabe von privaten mobilen Endgeräten zwar zu geringfügig mehr Vorschlägen führt, aber das schnelle Eintippen, das vielleicht irgendwo nebenbei erfolgt, die Qualität der Vorschläge mindert, weshalb dann der Umsetzungsanteil und (in geringem Maße) auch die Einsparungsquote geringer sind …
Meiner Ansicht nach kommt eine so feine Unterscheidung der Zahlenwerte „hochgenauem Rechnen mit ungenauen Zahlen“ gleich. Alle angegebenen „Zusammenhangsstärken“ sollten mit einer Unsicherheit von +/- 5 bis +/- 10 gelesen werden. Mein Verständnis dieses Ergebnisses ist daher: Kein statistisch belastbarer Effekt, was die Ideeneingabe von privaten mobilen Endgeräten angeht.
Beispiele 7 und 8: Diese Beispiele stehen dafür, dass die Maßnahmen nicht Ursachen der Ergebnisse sind, sondern mit sehr viel höherer Plausibilität die vorgefundenen Ergebnisse (geringere Vorschlagsquote, tendenziell geringere Umsetzungsanteile) Anlass zu Nachhaltigkeits-Checks und Weiterentwicklungen geben. Gerade weil wenige Vorschläge kommen, wird versucht, aus ihnen das Beste herauszuholen (mehr dazu finden Sie im Blogbeitrag „So machen Sie aus Ideen das Beste“).
- Dass dies gelingt, zeigt sich daran, dass die meisten Unternehmen, die diese Maßnahmen durchführen, bei der Vorschlagsquote zur unteren Hälfte gehören, aber bei der Einsparungsquote wieder vermehrt in der oberen Hälfte zu finden sind (und das, obwohl eine geringere Vorschlagsquote ansonsten tendenziell eher mit einer geringeren Einsparungsquote einhergeht: die „Zusammenhangsstärke“ zwischen Vorschlags- und Einsparungsquote beträgt 36, siehe Tabelle 3).
- Dass diese Maßnahmen auch für Unternehmen sehr sinnvoll sind, die bei der Vorschlagsquote zur oberen Hälfte zählen, bedarf keiner Erwähnung.
Fazit: Kennzahlen bringen Licht in die „Black Box Ideenmanagement“
Im Blogbeitrag „Kennzahlenvergleich Ideenmanagement 2020 – Ergebnisse und Konsequenzen“ hatte ich das Ideenmanagement als „Black Box“ betrachtet (siehe dortige Abbildung 4), deren Funktionsweise anhand der Korrelationen zwischen den „Messwerten“ für die Basiskennzahlen Beteiligungsquote [% MA], Vorschlagsquote [VV/MA], Umsetzungsanteil [% uVV], Umsetzungsquote [uVV/MA], Einsparungsquote [€/MA] und Abarbeitungsanteil [% aVV] erschlossen werden kann. In den darauffolgenden Jahren wurden weitere Kennzahlen hinzugezogen (z.B. gezahlte Prämien, Durchlaufzeiten, Arbeitskapazität im Ideenmanagement).
Dadurch wurden die Zusammenhänge zwischen den Kennzahlen transparent. Außerdem wurden im ergänzenden Benchmarking eine Vielzahl weiterer Parameter berücksichtigt und deren Zusammenhänge mit den Kennzahlen ausgewertet. Mittlerweile hat die „Black Box“ viel von ihrer „Undurchsichtigkeit“ verloren. Abbildung 4 zeigt die „Black Box“ mit einer Auswahl von Themen, auf die sie nun ausgeleuchtet werden kann.

Abb. 4: Ideenmanagement als „Black Box“ mit „Messgeräten“ für die Beteiligungsquote [% MA], die Vorschlagsquote [VV/MA], den Umsetzungsanteil [% uVV], die Umsetzungsquote [uVV/MA], die Einsparungsquote [€/MA] und den Abarbeitungsanteil [% aVV] – eingebettet in ein Umfeld aus Rahmenbedingungen und Maßnahmen
Die auf dieser Basis erstellte Liste der „Zusammenhangsstärken“ zeigt bereits für über 80 verschiedene Merkmale (von A wie „Annahmeprämie“ bis Z wie „Zurückspielmöglichkeit des Bearbeiters an den Einreicher“) auf, wie groß die Chancen sind, dass sie sich erfolgsfördernd für das Ideenmanagement nutzen lassen. Der Kennzahlenvergleich Ideenmanagement 2025 wird diese Liste um wichtige und zukunftsrelevante Themen erweitern: im Fokus stehen die „Nutzung von KI“ und „Marketingelemente“.
Sie möchten wissen, was die besten Chancen dafür bietet, dass Ihr Ideenmanagement erfolgreicher wird? Nehmen Sie am Kennzahlenvergleich Ideenmanagement 2025 teil und nutzen Sie die Liste der „Zusammenhangsstärken“ in Ihrem individuellen Ergebnisbericht!
Das Datenblatt finden Sie zum Download auf der Benchmarkseite, die Datenerfassung läuft im ersten Quartal 2026.
Alle Interessenten sind herzlich zum unentgeltlichen Web-Workshop „Konzept und Grundlagen des Kennzahlenvergleichs Ideenmanagement“ eingeladen (anmelden können Sie sich einfach formlos per E-Mail). Auswahltermine finden am Dienstag, den 03.02.2026 um 11:00 – 12:00 Uhr und am Mittwoch, den 25.02.2026 um 14:30 – 15:30 Uhr statt.
Exklusiv für Teilnehmer am „Kennzahlenvergleich Ideenmanagement 2025“ findet zudem am Donnerstag, den 21.05.2026 um 14:00 – 16:00 Uhr ein unentgeltlicher Web-Workshop statt, in dem die Ergebnisse vorgestellt werden (inkl. „Zusammenhangsstärken“ auch früherer Kennzahlenvergleiche).
Ein nach Stichworten sortiertes Verzeichnis mit Links auf alle bisher erschienenen Beiträge im Blog zum Ideenmanagement finden Sie in diesem Register.
Alle Erwähnungen von Produkten und Unternehmen sind redaktioneller Natur und wurden nicht bezahlt.

Dr. Hartmut Neckel
Dr. Hartmut Neckel ist einer der profiliertesten Vordenker und erfahrensten Praktiker im Themenbereich Ideenmanagement, Innovation und kontinuierliche Verbesserungsprozesse.