Medianwerte der Vorschlags-, Umsetzungs- und Einsparungsquoten gegenüber 2023 nahezu unverändert, ebenso die der Umsetzungs- und Abarbeitungsanteile. Also alles in Ordnung? Von wegen! Bei ihren Vorschlägen haben fast doppelt so viele Unternehmen einen Rückgang erlebt wie einen Anstieg. Dabei waren die meisten Rückgänge mit über 20% so groß wie seit dem Corona-Jahr 2020 nicht mehr. Die Ergebnisse des ergänzenden Benchmarkings zeigen, womit Unternehmen besonders erfolgreich waren, ihr Ideenmanagement entgegen dem Trend auch in schwierigen Zeiten hoch zu halten.
Eine kurze „Gebrauchsanleitung“ für die Nutzung der Ergebnisse
Wie im Blogbeitrag „Mit Benchmarking fit für die Zukunft“ erläutert, können Sie die Ergebnisse des Kennzahlenvergleichs Ideenmanagement auf verschiedene Weisen nutzen:
- Der Blick auf die Zahlen hilft, die eigenen Ergebnisse vor dem Hintergrund der Entwicklungen im Umfeld besser einzuordnen und zeigt auf, was möglich ist. Das kann Anlass geben, Potenziale besser auszuschöpfen („Was andere können, könnten wir auch!“) oder eigene Erfolge stärker zu würdigen. /Teilnehmer am Kennzahlenvergleich sehen ihre eigene Position im Vergleich zu allen anderen Teilnehmern in den Abbildungen 6, 8, 10, 12, 14, 16 und 17 ihres individuellen Ergebnisberichts./
- Die Identifikation von Rahmenbedingungen und Erfolgsfaktoren, mit denen gute Ergebnisse im Ideenmanagement besonders häufig einhergehen, ermöglicht, von anderen zu lernen („Was sich woanders bewährt, könnte auch bei uns funktionieren!“). Mit der Kenntnis von Best Practices muss man das Rad nicht neu erfinden. /Teilnehmer am Kennzahlenvergleich erfahren auf den Seiten 19-43 ihres individuellen Ergebnisberichts, wie gute Kennzahlen mit Praktiken zur Motivation, Unterstützung, Entlastung von Gutachtern und Entscheidern, mit dem Vorhandensein von Zielen und mit der Art und Häufigkeit von Reporting zusammenhängen./
- Die Auswertung der Zusammenhänge zwischen verschiedenen Kennzahlen erleichtert das Verständnis für wesentliche Funktionsweisen des Ideenmanagements („Allgemeingültige Prinzipien sind auch für uns relevant!“). /Teilnehmer am Kennzahlenvergleich finden auf den Seiten 44-48 sowie 52-62 ihres individuellen Ergebnisberichts ausführliche Erläuterungen der Korrelationen zwischen den jährlich erhobenen Kennzahlen./
- Der Blick auf die teilnehmenden Unternehmen ermöglicht, auf relevante Player zu verweisen („Wenn die das machen, könnte das auch für uns interessant sein!“). Namedropping und der Hinweis auf die „gute Gesellschaft“, in der man sich mit Ideenmanagement befindet, stärken die eigene Position. /Teilnehmer am Kennzahlenvergleich erhalten die Liste aller Teilnehmer auf den Seiten 74-78 ihres individuellen Ergebnisberichts./
Dieser Blogbeitrag wirft vor allem Blicke auf die Zahlen und auf die teilnehmenden Unternehmen. In den nächsten Blogbeiträgen stehen dann die Erfolgsfaktoren und Zusammenhänge im Fokus.
Ein Blick auf die Zahlen
Zunächst darf man sich über ein klein wenig Stabilität freuen. Diese zeigt sich etwa in der Anzahl der teilnehmenden Unternehmen: Dank dem Engagement der Ideenmanagerinnen und Ideenmanager aus 257 Unternehmen steht wieder eine solide Datenbasis für hilfreiche Auswertungen zur Verfügung (zum Vergleich: 252 Teilnehmer waren es für 2023 und 255 für 2022).
Auch dass die Medianwerte der Beteiligungsquote mit 10,4% (gegenüber 10,7%), der Vorschlagsquote mit 0,162 VV/MA (gegenüber 0,165 VV/MA) und der Umsetzungsquote mit 0,064 uVV/MA (gegenüber 0,067 uVV/MA) jeweils um weniger als 5% gegenüber 2023 zurückgegangen sind, darf man positiv sehen, ebenso wie die Konstanz der Medianwerte des Umsetzungsanteils mit 43,5% (gegenüber 43,2%) und des Abarbeitungsanteils mit 61,8% (gegenüber 61,7%). Lediglich der Medianwert der Einsparungsquote ist um fast 10% zurückgegangen: auf 113 €/MA (gegenüber 126 €/MA) – aber die Einsparungsquote verhält sich sowieso „eigenwillig“, weshalb dieser Änderung nicht allzuviel Bedeutung beigemessen werden sollte. Dazu später mehr.
Allerdings wird sich nur eine Minderheit von etwa einem Drittel der Teilnehmer in dieser positiven Bilanz wiederfinden. Denn Statistiken sagen wenig über die Entwicklungen in konkreten einzelnen Unternehmen aus. Für die Unternehmen, die sowohl für 2023 als auch für 2024 am Kennzahlenvergleich teilgenommen haben, habe ich daher auch die individuellen Veränderungen ausgewertet (siehe folgende Tabelle).

Tabelle: Anteil der Unternehmen mit einer positiven bzw. negativen Veränderung von 2023 auf 2024.
Wie in der Tabelle sichtbar ist, haben fast doppelt so viele Teilnehmer bei den Beteiligungs-, Vorschlags- und Umsetzungsquoten einen Rückgang erlebt wie einen Anstieg. Bei der Einsparungsquote und beim Umsetzungsanteil halten sich Rückgänge und Steigerungen in etwa die Waage. Seit 2018 waren die Anteile mit Rückgängen nur im Corona-Jahr 2020 noch größer gewesen.
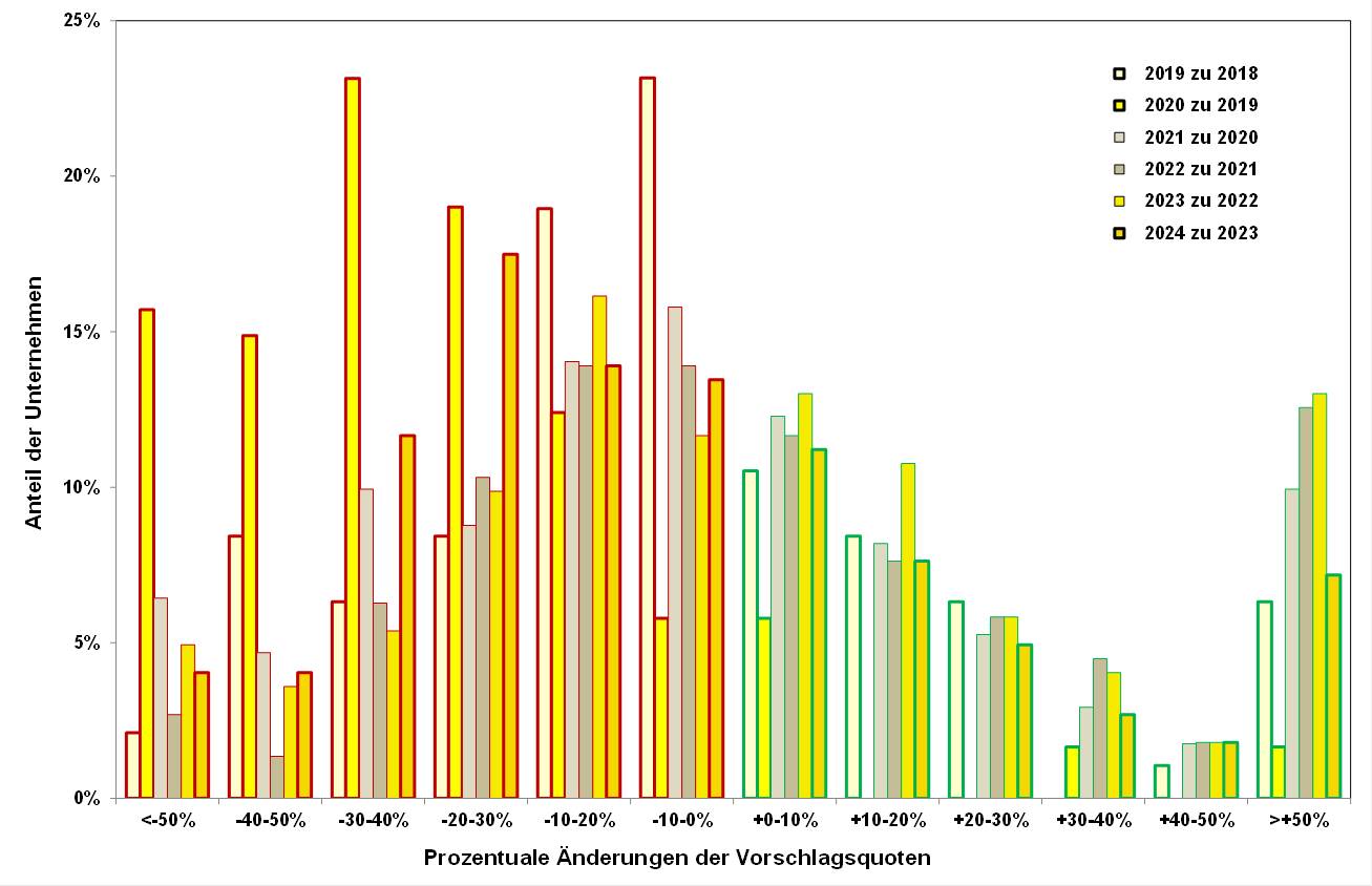
Interessant ist außerdem, wie stark die Rückgänge (oder Anstiege) ausfallen: handelt es sich um kleinere Schwankungen unter plus / minus zehn Prozent oder um Einbrüche (oder explosionsartige Steigerungen) von über 50%? Die Abbildungen 1 bis 3 zeigen das Ausmaß der Veränderungen für die Vorschlagsquote, den Umsetzungsanteil und die Einsparungsquote gegenüber den jeweiligen Vorjahren im Zeitraum 2019 bis 2024 (jeweils knapp 90% der Teilnehmer eines Jahres haben auch im Folgejahr teilgenommen).

Abb. 1: Anteil der Unternehmen, die gegenüber dem Vorjahr eine prozentuale Änderung der Vorschlagsquote im jeweiligen Größenbereich verzeichnet haben (die „auffälligen“ Jahre 2019, 2020 und 2024 sind mit stärkerer Umrandung hervorgehoben).
- Am auffälligsten zeigt sich das Ausmaß von Rückgängen der Vorschlagsquote im Corona-Jahr 2020. Über 90% der Teilnehmer hatten damals Rückgänge verzeichnet, bei mehr als der Hälfte der Teilnehmer waren sie größer als 30%. In keinem anderen Jahr gab es so wenige Unternehmen, die Anstiege über 50% erzielen konnten.
- Doch auch beim Jahr 2019 gibt es Auffälligkeiten, etwa die relativ hohen Anteile von Teilnehmern, die Rückgänge zwischen 0-10%, 10-20% oder 40-50% verzeichneten.
- Beim Jahr 2024 fallen insbesondere die hohen Anteile von Teilnehmern auf, die Rückgänge zwischen 20-30% oder 30-40% verzeichnen, ebenso der im Vergleich zu den drei vorangegangenen Jahren deutlich geringere Anteil mit einem Anstieg über 50%.

Abb. 2: Anteil der Unternehmen, die gegenüber dem Vorjahr eine prozentuale Änderung des Umsetzungsanteils im jeweiligen Größenbereich verzeichnet haben (die Stärke der Umrandung symbolisiert das Ausmaß der Änderung).
- Beim Umsetzungsanteil verzeichnet eine relative Mehrheit der Teilnehmer in allen Jahren nur geringe Veränderungen kleiner plus / minus zehn Prozent.
- Möglicherweise lässt sich der Umsetzungsanteil als eine „Eigenschaft“ des jeweiligen Unternehmens und seines Ideenmanagementsystems verstehen, die nur vergleichsweise wenig von anderen Faktoren beeinflusst wird.
- Dem relativ hohen Anteil mit Rückgängen über 50% im Corona-Jahr 2020 entspricht wahrscheinlich ein Nachholeffekt, der sich im überdurchschnittlich hohen Anteil mit Steigerungen über 50% im Jahr 2021 zeigt.

Abb. 3: Anteil der Unternehmen, die gegenüber dem Vorjahr eine prozentuale Änderung der Einsparungsquote im jeweiligen Größenbereich verzeichnet haben (die Stärke der Umrandung symbolisiert das Ausmaß der Änderung).
- Bei Veränderungen der Einsparungsquote bietet sich ein völlig anderes Bild als bei allen anderen Kennzahlen. Die meisten Teilnehmer erleben Änderungen der Einsparungsquote um mindestens 50%, und zwar jeweils zu fast gleich großen Anteilen nach oben und unten. Konstanz der Einsparungsquote ist dagegen deutlich seltener.
- Das entspricht der Erfahrung aus der Praxis vieler Unternehmen, dass sich die Höhe der finanziellen Einsparungen oft völlig unabhängig von (kurzfristigen) Entwicklungen der Beteiligungs- und Vorschlagsquoten verhält.
- Diese Volatilität der Einsparungshöhe entspringt der „Zufälligkeit“, mit der einsparwirksame Ideen entstehen (siehe Blogbeitrag „Die drei Prinzen von Serendip – oder: Vom Zufall der guten Einfälle“), und ist der Grund dafür, warum ich das Verhalten der Einsparungshöhe oben als „eigenwillig“ bezeichnet habe.
- Das „zufällige“, „sprunghafte“ und damit unvorhersehbare Verhalten macht es schwierig, Zielvorstellungen für die Einsparungshöhe gemäß „SMART Kriterien“ zu definieren.
Die Tabellen mit den Median- und arithmetischen Durchschnittswerten der einzelnen Jahre 2018 – 2024 für alle erhobenen Kennzahlen sowie deren Definitionen finden Sie hier. /Teilnehmer am Kennzahlenvergleich finden zudem eine tabellarische Zusammenstellung der Zahlen aller Jahre, deren Visualisierung in Balkendiagrammen und weiterführende Erläuterungen auf den Seiten 16-18 ihres individuellen Ergebnisberichts./
Eine bis in das Jahr 1985 zurückreichende Darstellung der Zeitverläufe für Beteiligungs-, Vorschlags- und Einsparungsquoten finden Sie im Blogbeitrag „Vom Auf und Ab im Ideenmanagement“.
Ein Blick auf die teilnehmenden Unternehmen
Neben der Anzahl teilnehmender Unternehmen ist auch deren Zusammensetzung nach Branchen und Größen relevant. Die Teilnehmer des „Kennzahlenvergleichs Ideenmanagement 2024“ verteilen sich auf über 25 verschiedene Branchen (siehe Abbildung 4). /Teilnehmer am Kennzahlenvergleich finden die branchenbezogenen Analysen auf den Seiten 65-66 ihres individuellen Ergebnisberichts./
- Produktionsunternehmen machen knapp vier Fünftel der Teilnehmer aus. Mit jeweils über 25 Teilnehmern sind die Schlüsselbranchen „Automobilindustrie und Zulieferer“, „Chemieindustrie, Biotechnologie“, „Maschinen- und Anlagenbau“ sowie „Metallver- und -bearbeitung, Stahl, Gießereien“ besonders stark vertreten und wurden zusätzlich separat ausgewertet.
- Außer Industriebetrieben nehmen auch Unternehmen aus den Bereichen Handel, Banken, Versicherungen und andere Dienstleistungen, Verkehrs- und Versorgungsbetriebe sowie Einrichtungen des Öffentlichen Dienstes in einem nennenswerten Umfang teil.

Abb. 4: Branchen der teilnehmenden Unternehmen am „Kennzahlenvergleich Ideenmanagement 2024“.
Wie in den Jahren zuvor haben sich am „Kennzahlenvergleich Ideenmanagement 2024“ Unternehmen der unterschiedlichsten Größen (von unter 50 bis über 250.000 Mitarbeiter beteiligt (siehe Abbildung 5). Dabei stellen Unternehmen unter 1.000 Mitarbeiter knapp 40% der Teilnehmer.

Abb. 5: Größenverteilung der teilnehmenden Unternehmen am „Kennzahlenvergleich Ideenmanagement 2024“.
Ein Beispiel, wie Unternehmen die Ergebnisse des Kennzahlenvergleichs für das interne (und externe) Marketing ihres Ideenmanagements nutzen, finden Sie in der Hessischen/Niedersächsischen Allgemeinen HNA, im Newsroom der Viessmann Holding International GmbH und auf englisch in den eJARN News.
Ein kurzer Seitenblick auf Erfolgsfaktoren und Zusammenhänge
Das ergänzende Benchmarking im Kennzahlenvergleich 2024 ermöglichte Auswertungen zu drei besonders spannenden Fragestellungen:
- Welche Ansatzpunkte zur Motivation, Unterstützung, Entlastung von Gutachtern und Entscheidern werden wie häufig genutzt? Bei welchen zeigen sich die stärksten Zusammenhänge mit positiven Wirkungen?
- Zu welchen Kennzahlen und Themenfeldern werden Ziele und Erfolgskriterien definiert? Von wem (Unternehmensleitung, allgemein / grundsätzlich, Ideenmanagement)? Wo zeigen sich die stärksten Zusammenhänge mit positiven Wirkungen?
- Welche Inhalte, Zielgruppen, Frequenzen, Formate und Wege hat das Reporting? Bei welchen zeigen sich die stärksten Zusammenhänge mit positiven Wirkungen?
Ein Ergebnis ist: Es gibt Ansatzpunkte zur Motivation, Unterstützung, Entlastung von Gutachtern und Entscheidern, die deutlich häufiger mit höheren Werten von Kennzahlen einhergehen als andere Ansatzpunkte. Das lässt sich möglicherweise so interpretieren, dass diese Ansatzpunkte das Verhalten von Gutachtern und Entscheidern tatsächlich beeinflussen, und dass das Verhalten von Gutachtern und Entscheidern wiederum Einfluss auf die Kennzahlen hat.
Als weiteres Ergebnis wurden die bereits in den Blogbeiträgen zu früheren Kennzahlenvergleichen beschriebenen Korrelationen und Zusammenhänge zwischen den verschiedenen Kennzahlen auf der Basis der aktuellen 2024er Zahlen nochmals bestätigt – nun allerdings auch auf Basis einer Auswertung der Zusammenhänge von zeitlichen Entwicklungen in den einzelnen Unternehmen.
Lesen Sie dazu mehr in den nächsten Blogbeiträgen:
- Kennzahlenvergleich Ideenmanagement 2024 – Ergebnisse 2: Begutachtung und Entscheidung
- Kennzahlenvergleich Ideenmanagement 2024 – Ergebnisse 3: Ziele und Reporting
Merken Sie sich bereits jetzt Ihre Teilnahme am „Kennzahlenvergleich Ideenmanagement 2025“ vor! Das Datenblatt steht ab November 2025 auf der Benchmark-Webseite zum Download bereit, die Datenerfassung läuft im ersten Quartal 2026.
Weitere Informationen zu Ergebnissen des Kennzahlenvergleichs 2024 finden Sie in der aktuellen Pressemitteilung.
Erläuterungen zu Begriffen aus der Welt der Statistik (z.B. „Korrelation“ bzw. „Korrelationskoeffizient“, „Medianwert“, „Boxplotdiagramm“) finden Sie im Blogbeitrag „Kennzahlen und Statistik für Zahlen- und Statistikhasser“.
Mehr zum Konzept des „Kennzahlenvergleichs Ideenmanagement“ und zu den Vorteilen einer Teilnahme können Sie in folgenden Blogbeiträgen lesen:
- Kennzahlenvergleich Ideenmanagement 2019 – Orientierungshilfe und Anregung
- Kennzahlenvergleich Ideenmanagement 2024: Einladung zur Teilnahme
Ein nach Stichworten sortiertes Verzeichnis mit Links auf alle bisher erschienenen Beiträge im Blog zum Ideenmanagement finden Sie in diesem Register.
Alle Erwähnungen von Produkten und Unternehmen sind redaktioneller Natur und wurden nicht bezahlt.

Dr. Hartmut Neckel
Dr. Hartmut Neckel ist einer der profiliertesten Vordenker und erfahrensten Praktiker im Themenbereich Ideenmanagement, Innovation und kontinuierliche Verbesserungsprozesse.