Für eine fristgerechte Begutachtung und Entscheidung von Vorschlägen zu sorgen, ist in vielen, wenn nicht den meisten Unternehmen eine herausfordernde Dauerbaustelle. Kein Wunder, dass dieses Thema auf der Wunschliste für das ergänzende Benchmarking im Kennzahlenvergleich Ideenmanagement 2024 ganz oben stand. Die den Teilnehmern Ende April bereitgestellten Ergebnisse zeigen, dass es durchaus Ansatzpunkte zur Motivation, Unterstützung und Entlastung von Gutachtern und Entscheidern gibt, die besonders häufig mit höheren Werten relevanter Kennzahlen einhergehen.
Wie im letzten Blogbeitrag erläutert, besteht eine wesentliche Nutzungsmöglichkeit des Kennzahlenvergleichs darin, Rahmenbedingungen und Faktoren zu erkennen, die besonders häufig mit einem erfolgreichen Ideenmanagement einhergehen. Das ermöglicht, von anderen zu lernen und zu prüfen, welche woanders bewährten Praktiken auch für das eigene Unternehmen in Frage kommen könnten. Der erste Abschnitt dieses Blogbeitrags widmet sich den Ergebnissen des ergänzenden Benchmarkings zum eingangs genannten Thema.
- Um entsprechende Zusammenhänge identifizieren zu können, wird eine genügend große Datenbasis benötigt. Denn die jeweiligen Teilgruppen „mit“ und „ohne“ Vorhandensein einzelner Rahmenbedingungen oder Faktoren dürfen nicht zu klein werden, da die statistische Auswertung ansonsten keine belastbaren und aussagekräftigen Ergebnisse liefert. Dank der Anzahl von 257 teilnehmenden Unternehmen ist diese Voraussetzung weitgehend gegeben (wo nicht, weise ich darauf hin).
- Angesichts der teilweise doch erheblichen Unterschiede zwischen Produktions- und Nicht-Produktionsunternehmen (sichtbar in der hier bereitgestellten Tabelle) ist außerdem zu beachten, ob eine der Teilgruppen „mit“ oder „ohne“ vielleicht vor allem durch eine dieser Unternehmensarten dominiert wird. Dann könnten die Unterschiede zwischen „mit“ und „ohne“ mehr auf die Art der Unternehmen zurückzuführen sein, als auf das Vorhandensein oder Nicht-Vorhandensein der jeweiligen Rahmenbedingungen oder Faktoren. Auch hier spielt die Größe der Datenbasis eine Rolle, denn sie ermöglicht, Aussagen gegebenenfalls nur für die Teilmenge der Produktionsunternehmen zu überprüfen. Bei den Themen dieses Blogbeitrags ergaben sich durchweg Bestätigungen der Gesamtergebnisse.
Eine weitere, ebenfalls im letzten Blogbeitrag erläuterte Nutzungsmöglichkeit besteht darin, anhand der Zusammenhänge zwischen verschiedenen Kennzahlen ein tieferes Verständnis für wesentliche Funktionsweisen des Ideenmanagements gewinnen zu können. Darum geht es im zweiten Abschnitt dieses Blogbeitrags.
Erfolgversprechende Ansatzpunkte zur Motivation, Unterstützung, Entlastung von Gutachtern und Entscheidern identifizieren
Die Teilnehmer am Kennzahlenvergleich Ideenmanagement 2024 konnten angeben, welche Ansatzpunkte zur Motivation, Unterstützung, Entlastung von Gutachtern und Entscheidern sie nutzen. Es standen 24 Ansatzpunkte zur Auswahl (siehe Blogbeitrag „Motivation, Unterstützung und Entlastung von Gutachtern und Entscheidern: 24 Tipps“), weitere konnten hinzugefügt werden.
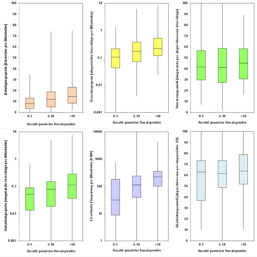
Zunächst ist erkennbar, dass in Unternehmen, die viele Ansatzpunkte nutzen, bei allen Kennzahlen höhere Werte häufiger vorkommen, als in Unternehmen, die nur wenige Ansatzpunkte nutzen (siehe Abbildung 1).

Abb. 1: Boxplotdiagramme der Beteiligungs-, Vorschlags-, Umsetzungs- und Einsparungsquoten sowie der Umsetzungs- und Abarbeitungsanteile für drei nach Anzahl der genutzten Ansatzpunkte eingeteilte Gruppen der Unternehmen. /Teilnehmer am Kennzahlenvergleich finden diese Diagramme mit Angabe der jeweiligen Medianwerte auf Seite 20 ihres individuellen Ergebnisberichts./
Dieses Ergebnis lässt sich so verstehen, dass die Ansatzpunkte das Verhalten von Gutachtern und Entscheidern beeinflusssen, und dass sich das Verhalten von Gutachtern und Entscheidern wiederum auf die Kennzahlen auswirkt. Aber es ist ebenso denkbar, dass es in Unternehmen, die viele Ansatzpunkte nutzen, Bedingungen gibt (z.B. eine Unternehmensleitung, die das Ideenmanagement fördert), die sowohl dazu führen, dass viele Ansatzpunkte genutzt werden, als auch, dass hohe Werte erzielt werden (vielleicht sogar, ohne dass die Ansatzpunkte direkt auf Gutachter und Entscheider oder auf die Kennzahlen einwirken).
Abbildung 2 zeigt die Unterschiede in der Häufigkeit, mit der die einzelnen Ansatzpunkte genutzt werden. Es wird nicht verwundern, dass einige von rund drei Vierteln der Teilnehmer genutzt werden, andere nicht einmal von einem Zehntel.

Abb. 2: Prozentuale Nutzungshäufigkeit der Ansatzpunkte zur Motivation, Unterstützung, Entlastung von Gutachtern und Entscheidern. /Teilnehmer am Kennzahlenvergleich finden die Diagramme mit Angabe der absoluten und prozentualen Häufigkeiten der zugeordneten Ansatzpunkte auf Seite 21 ihres individuellen Ergebnisberichts./
Besonders interessant ist nun die eingangs erwähnte Nutzungsmöglichkeit des Kennzahlenvergleichs, zu untersuchen, ob sich zwischen den Teilgruppen „mit“ und „ohne“ Nutzung bestimmter Ansatzpunkte Unterschiede in den Kennzahlen zeigen. Tatsächlich ist das bei mehreren Ansatzpunkten der Fall.
Die Abbildungen 3 und 4 zeigen die Unterschiede der Medianwerte der Vorschlags- und der Einsparungsquote. Zwei Ansatzpunkte wurden dabei außen vor gelassen, weil sie von nur so wenigen Unternehmen genutzt werden, dass die hier ermittelten Werte nicht belastbar sind. /Teilnehmer am Kennzahlenvergleich finden die Diagramme mit den Datenbeschriftungen und den zugeordneten Ansatzpunkten auf den Seiten 24-27 ihres individuellen Ergebnisberichts./

Abb. 3: Vergleich der Medianwerte der Vorschlagsquote mit und ohne Nutzung der Ansatzpunkte.

Abb. 4: Vergleich der Medianwerte der Einsparungsquote mit und ohne Nutzung der Ansatzpunkte.
Ein noch genaueres Bild der Zusammenhänge als in den Abbildungen 3 und 4 bieten Vergleiche der Boxplotdiagramme. Beispielhaft für einen offenbar besonders interessanten Ansatzpunkt sind in Abbildung 5 die Boxplotdiagramme der Vorschlagsquote, des Umsetzungsanteils, der Einsparungsquote und des Abarbeitungsanteils der Gruppen „mit“ und „ohne“ Nutzung dieses Ansatzpunktes nebeneinandergestellt.

Abb. 5: Boxplotdiagramme der Vorschlagsquote, des Umsetzungsanteils, der Einsparungsquote und des Abarbeitungsanteils der Gruppen mit und ohne Nutzung eines ausgewählten Ansatzpunktes. /Teilnehmer am Kennzahlenvergleich finden die Diagramme mit Angabe der jeweiligen Medianwerte und zugeordneten Ansatzpunkten auf den Seiten 28-30 ihres individuellen Ergebnisberichts./
- Dabei wird auch deutlich, dass es selbst bei Ansatzpunkten, bei denen die Unterschiede zwischen „mit“ und „ohne“ einen eindeutigen starken Zusammenhang nahelegen, Unternehmen gibt, die auch ohne Nutzung dieses Ansatzpunktes hohe Werte erzielen – ebenso, wie es Unternehmen gibt, die selbst mit Nutzung nur geringe Werte verzeichnen.
- Selbst wenn die Medianwerte der „mit“-Gruppe deutlich höher sind als die der „ohne“-Gruppe, ist die Nutzung des entsprechenden Ansatzpunktes also weder eine Garantie auf Erfolg noch eine notwendige Voraussetzung für Erfolg.
Trotz dieser Einschränkungen dürfte es für die Praxis bei der Steuerung des Ideenmanagements sinnvoll sein, Energie und Ressourcen zuerst auf die Ansatzpunkte zu verwenden, bei denen sich am häufigsten positive Zusammenhänge mit einem erfolgreichen Ideenmanagement zeigen.
Zusammenhänge zwischen verschiedenen Kennzahlen erkennen und verstehen
Jahr für Jahr bestehen zwischen den verschiedenen Kennzahlen des Ideenmanagements dieselben statistischen Zusammenhänge: Bei Unternehmen mit einer höheren Beteiligungsquote finden sich in der Regel auch höhere Vorschlags- und Umsetzungsquoten. Tendenziell, wenn auch in deutlich geringerem Ausmaß, finden sich in diesen Unternehmen außerdem höhere Umsetzungsanteile und Einsparungsquoten. Nochmals geringer ausgeprägt sind die Zusammenhänge mit der Unternehmensgröße: die Beteiligungs-, Vorschlags- und Umsetzungsquoten sind in kleineren Unternehmen tendenziell etwas höher, während sich höhere Einsparungsquoten etwas häufiger in größeren Unternehmen finden.
Beispielhaft sind in den Abbildungen 6 und 7 die Zusammenhänge der Vorschlags- mit der Umsetzungsquote sowie der Vorschlags- mit der Einsparungsquote jeweils für die Jahre 2023 und 2024 nebeneinandergestellt.

Abb. 6: Zusammenhänge zwischen Vorschlags- und Umsetzungsquote in den Jahren 2023 (links) und 2024 (rechts); visualisiert in Boxplotdiagrammen jeweils für fünf nach Vorschlagsquoten eingeteilte Klassen von Unternehmen.

Abb. 7: Zusammenhänge zwischen Vorschlags- und Einsparungsquote in den Jahren 2023 (links) und 2024 (rechts); visualisiert in Boxplotdiagrammen jeweils für fünf nach Vorschlagsquoten eingeteilte Klassen von Unternehmen.
Der Vergleich zwischen den Abbildungen 6 und 7 macht den Unterschied zwischen dem Zusammenhang der Vorschlags- mit der Umsetzungsquote und dem Zusammenhang der Vorschlags- mit der Einsparungsquote deutlich:
- Während fast alle Unternehmen mit einer Vorschlagsquote unter 0,2 VV/MA mit den Werten der Umsetzungsquote unterhalb der roten Linie bleiben, sind bei Vorschlagsquoten über 0,4 VV/MA Werte der Umsetzungsquote oberhalb der roten Linie quasi „garantiert“.
- Dagegen gibt es durchaus eine nennenswerte Zahl von Unternehmen, die auch mit einer Vorschlagsquote unter 0,2 VV/MA bei den Werten der Einsparungsquote oberhalb der roten Linie liegen, so, wie es auch eine nennenswerte Zahl von Unternehmen gibt, die bei Vorschlagsquoten über 0,4 VV/MA Werte mit ihrer Einsparungsquote unterhalb der roten Linie bleiben.
- In Abbildung 7 ist außerdem die im letzten Blogbeitrag als „eigenwillig“ bezeichnete Volatilität der Einsparung sichtbar. Je nach Zufälligkeiten erzielter Einsparungen sieht die Abfolge der Boxplotdiagramme in verschiedenen Jahren etwas unterschiedlich aus (während sich in Abbildung 6 auf den ersten Blick keine Unterschiede zeigen).
Als Maß für die Stärke solcher statistischen Zusammenhänge dienen sogenannte „Korrelationskoeffizienten“. Diese können Werte zwischen -1 und +1 annehmen.
- Bei einem Wert von +1 ist der Zusammenhang immer eindeutig positiv. Wäre etwa der Korrelationskoeffizient zwischen der Vorschlags- und der Umsetzungsquote gleich +1 (was nicht der Fall ist; er beträgt im Mittel der letzten sieben Jahre 0,93), hätten wirklich alle Unternehmen mit höheren Vorschlags- auch höhere Umsetzungsquoten.
- Bei einem Wert von -1 ist der Zusammenhang immer eindeutig negativ. Wäre etwa der Korrelationskoeffizient zwischen der Anzahl der Mitarbeiter und der Vorschlagsquote gleich -1 (was ebenfalls nicht der Fall ist; er beträgt im Mittel der letzten sieben Jahre -0,21), hätte bei einem Vergleich zwischen zwei Unternehmen immer das mit der größeren Mitarbeiteranzahl die geringere Vorschlagsquote.
- Bei einem Wert von 0 besteht überhaupt kein Zusammenhang (das ist etwa für die Einsparungsquote und den Abarbeitungsanteil der Fall; hier beträgt der Korrelationskoeffizient im Mittel der letzten sieben Jahre 0,004).
Interessanterweise zeigen die Korrelationskoeffizienten im Ideenmanagement kaum Veränderungen – und das nicht nur seit der ersten Durchführung des Kennzahlenvergleichs Ideenmanagement für das Jahr 2018, sondern bereits seit sehr viel älteren Erhebungen. Für das Diagramm in Abbildung 8 habe ich die Korrelationskoeffizienten für die Jahre 2001 und 2005 (aus den Originaldaten der damaligen „dib-Statistiken“) sowie 2010 und 2013 (aus den Originaldaten der damaligen „ZI-Kennzahlenvergleiche“) ermittelt und mit denen der Kennzahlenvergleiche Ideenmanagement ab 2018 gemeinsam aufgetragen.

Abb. 8: Korrelationskoeffizienten in den Jahren 2001, 2005, 2010, 2013, 2018-2024. Verwendet wurden die Rangkorrelationskoeffizienten nach Spearman. (Achtung: Die Zeitachse weist vor 2018 Sprünge auf.) /Teilnehmer am Kennzahlenvergleich finden eine Zusammenstellung aller relevanten Korrelationskoeffizienten auf Seite 53 ihres individuellen Ergebnisberichts./
- Während sich in den Korrelationen zwischen Beteiligungs-, Vorschlags- und Umsetzungsquoten seit bald 25 Jahren überhaupt keine Veränderungen zeigen, gibt es bei der Korrelation zwischen den Vorschlags- und Einsparungsquoten zwischen 2013 und 2018 einen kleinen Sprung.
- Angesichts dessen, dass viele Unternehmen ihr Ideenmanagement in den letzten 25 Jahren umgestellt haben (z.B. auf ein Vorgesetzten- oder auf ein Nutznießermodell, auf eine „Klasse statt Masse“ Strategie), finde ich die sich in allen Untersuchungen zeigenden Übereinstimmungen sehr viel bemerkenswerter als diese quantitative Änderung. Wesentlich erscheint mir, dass sich die Korrelation zwischen Vorschlags- und Einsparungsquoten sowohl bis 2013 als auch ab 2018 von den Korrelationen zwischen Beteiligungs-, Vorschlags- und Umsetzungsquoten in qualitativer Hinsicht signifikant unterscheidet.
Die bisher vorgestellten Auswertungen betrachten solche Zusammenhänge lediglich im Hinblick auf die Zahlen ein und desselben Jahres (nach dem Motto „In Unternehmen mit hoher Kennzahl A findet sich meist auch eine hohe Kennzahl B“) – wenn man so möchte, die „statischen“ Korrelationen. Nachdem dank der Kontinuität von sieben Jahren genügend Daten dafür vorhanden sind, habe ich nun noch untersucht, wie die zeitlichen Entwicklungen der Kennzahlen einzelner Unternehmen zusammenhängen – sozusagen die „dynamischen“ Korrelationen. Dabei lautet die typische Frage „Mit welcher Wahrscheinlichkeit erhöht (verringert) sich in einem Unternehmen die Kennzahl B, wenn sich die Kennzahl A erhöht (verringert)?“
Tatsächlich spiegeln sich in der dynamischen Betrachtung ähnliche Zusammenhänge wie in der statischen wider. Abbildung 9 zeigt für die Jahre 2019 bis 2024 den Anteil der Unternehmen, bei denen sich die jeweiligen Kennzahlen-Paare im Vergleich zum Vorjahr in der gleichen Weise verändert haben (entweder beide gestiegen oder beide gesunken).

Abb. 9: Anteile der Unternehmen, bei denen sich jeweils die Beteiligungs- und Vorschlagsquoten, die Vorschlags- und Umsetzungsquoten und die Vorschlags- und Einsparungsquoten parallel veränderten.
Auch hier zeigt sich wieder das „eigenwillige“ Verhalten der Einsparungsquote: sie ändert sich häufiger gegenläufig zu den Beteiligungs-, Vorschlags- und Umsetzungsquoten, während sich diese meistens parallel entwickeln.
Für die Praxis bei der Steuerung des Ideenmanagements lassen sich daraus folgende Konsequenzen ziehen:
- Wer eine Steigerung der Beteiligungsquote anstrebt (etwa im Interesse der Partizipation), muss mit hoher Wahrscheinlichkeit damit rechnen, dass sich auch die Vorschlagsquote erhöht. Er tut also gut daran, sich für die Bearbeitung einer größeren Anzahl von Vorschlägen zu wappnen.
- Wer mehr Verbesserungen realisieren möchte, wird diesem Ziel mit hoher Wahrscheinlichkeit näher kommen, wenn er sich um eine höhere Vorschlagsquote bemüht, und diese erreicht er mit hoher Wahrscheinlichkeit leichter, wenn er die Beteiligung fördert.
- Wer versucht, eine höhere Einsparungsquote durch eine Steigerung der Vorschlags- und Beteiligungsquoten zu erreichen, sollte nicht gar zu zuversichtlich sein. Die Wahrscheinlichkeit, dass das auf diesem Wege gelingt, ist mit 50-60% deutlich geringer als die Wahrscheinlichkeiten in den beiden zuvor genannten Entwicklungsszenarien.
- Übrigens zeigt die aktuelle Auswertung des Kennzahlenvergleichs Ideenmanagement 2024 auch, dass eine aufgrund eines größeren Anteils von Gruppenvorschlägen hohe Beteiligung sehr viel häufiger mit einer höheren Einsparungsquote einhergeht als eine aufgrund vieler Vielfacheinreicher hohe Vorschlagsquote. Da bedeutet, dass es unter rein finanziellen Gesichtspunkten sinnvoller sein könnte, Gruppenvorschläge statt Vielfacheinreichungen zu fördern. Mehr dazu folgt in einem nächsten Blogbeitrag. /Teilnehmer am Kennzahlenvergleich finden alle Ergebnisse hierzu auf den Seiten 47-48 ihres individuellen Ergebnisberichts./
Ausführliche Beschreibungen der Korrelationen und Zusammenhänge (auch zwischen anderen Kennzahlen), deren Interpretation und sich daraus ergebende Schlussfolgerungen finden Sie im Blogbeitrag „Kennzahlenvergleich Ideenmanagement 2021 – Teil 2: Zahlen und ihre Korrelationen“. /Teilnehmer am Kennzahlenvergleich finden ausführliche Erläuterungen der Korrelationen zwischen den jährlich erhobenen Kennzahlen auf den Seiten 44-48 sowie 52-62 ihres individuellen Ergebnisberichts./
Merken Sie sich bereits jetzt Ihre Teilnahme am „Kennzahlenvergleich Ideenmanagement 2025“ vor! Das Datenblatt steht ab November 2025 auf der Benchmark-Webseite zum Download bereit, die Datenerfassung läuft im ersten Quartal 2026.
Weitere Informationen zu Ergebnissen des Kennzahlenvergleichs 2024 finden Sie in der aktuellen Pressemitteilung.
Erläuterungen zu Begriffen aus der Welt der Statistik (z.B. „Korrelation“ bzw. „Korrelationskoeffizient“, „Medianwert“, „Boxplotdiagramm“) finden Sie im Blogbeitrag „Kennzahlen und Statistik für Zahlen- und Statistikhasser“.
Mehr zum Konzept des „Kennzahlenvergleichs Ideenmanagement“ und zu den Vorteilen einer Teilnahme können Sie in folgenden Blogbeiträgen lesen:
- Kennzahlenvergleich Ideenmanagement 2019 – Orientierungshilfe und Anregung
- Kennzahlenvergleich Ideenmanagement 2024: Einladung zur Teilnahme
Ein nach Stichworten sortiertes Verzeichnis mit Links auf alle bisher erschienenen Beiträge im Blog zum Ideenmanagement finden Sie in diesem Register.
Alle Erwähnungen von Produkten und Unternehmen sind redaktioneller Natur und wurden nicht bezahlt.

Dr. Hartmut Neckel
Dr. Hartmut Neckel ist einer der profiliertesten Vordenker und erfahrensten Praktiker im Themenbereich Ideenmanagement, Innovation und kontinuierliche Verbesserungsprozesse.