Es gibt wohl nur wenige andere Aspekte des Ideenmanagements, die in Unternehmen so ausgiebig diskutiert und verhandelt werden, wie die Frage der „richtigen“ Prämierung. Dabei stoßen oft verschiedene Wertesysteme, Menschenbilder und Glaubenssätze in punkto Gerechtigkeit, Leistung oder Motivation aufeinander. Umso wichtiger sind auf Zahlen, Daten, Fakten basierende Anhaltspunkte für die Erfolgsrelevanz von Prämien. Der „Kennzahlenvergleich Ideenmanagement 2023“ liefert wertvolle Orientierungshilfen.
Prämien im Ideenmanagement
Unter „Ideenmanagement“ wird häufig und fast synonym ein System verstanden, das Ideen mit Prämien honoriert. Zwar zeigen die Praxisbeispiele in den Blogbeiträgen „Ideenmanagement ohne Extra-Prämien – geht das denn?“ und „Best Practice Beispiel: Der WAREMA Verbesserungsprozess“, dass es auch ohne Prämien für jeden Einzelvorschlag geht, tatsächlich hatten jedoch mit 97 Prozent fast alle Teilnehmer am „Kennzahlenvergleich Ideenmanagement 2022“ angegeben, in ihrem Ideenmanagement finanzielle Prämien vorzusehen.
Prämien- und Incentivesysteme so zu gestalten, dass sie attraktiv sind, scheint allerdings nicht ganz einfach zu sein. 37 Prozent der Teilnehmer am Kennzahlenvergleich 2022 sahen darin eine zukünftig noch zu bewältigende Herausforderung, nicht einmal halb so viele hatten dieses Thema als erledigt abgehakt. Insofern war es naheliegend, dass die Teilnehmer dann als eines der Ergänzungsthemen für den „Kennzahlenvergleich Ideenmanagement 2023“ die Höhe der Prämien auswählten. Anhand der Ergebnisse beider Jahre lässt sich nun ein recht umfassendes Bild zur Rolle von Prämien als Rahmenbedingung, Einfluss- und (vielleicht) Erfolgsfaktor des Ideenmanagements zeichnen.
Warum Prämien?
Die Frage „Warum Prämien?“ ist ganz leicht zu beantworten: weil es gesetzlich vorgeschrieben ist. Nein – nicht direkt. Wie Peter Koblank in seiner Schrift „Die rechtlichen Rahmenbedingungen des Ideenmanagements in Deutschland“ erläutert (aus der ich den größten Teil dieses Abschnitts mit freundlicher Genehmigung übernommen habe), besteht ein Prämienanspruch, wenn folgende Bedingungen erfüllt sind:
- Der Vorschlag stellt eine über die übliche Leistung hinausgehende Sonderleistung dar, die nicht bereits mit dem normalen Entgelt abgegolten ist (Sonderleistungsprinzip).
- Der Arbeitgeber verwertet den Verbesserungsvorschlag, er nimmt ihn in Anspruch (Verwertungsprinzip).
- Der Arbeitgeber hat dadurch einen nicht unerheblichen Vorteil, ihm wird eine wertvolle Bereicherung zugeführt (Mindestprinzip).
Dieser Prämienanspruch wurde in einem Grundsatzurteil des Bundesarbeitsgerichts (BAG, Aktenzeichen 3 AZR 291/63) im Jahre 1965 vom § 242 des Bürgerlichen Gesetzbuches (BGB) abgeleitet. Dort heißt es:
„Der Schuldner ist verpflichtet, die Leistung so zu bewirken, wie Treu und Glauben mit Rücksicht auf die Verkehrssitte es erfordern.“
Der Schuldner ist in diesem Fall der Arbeitgeber. Mit Leistung ist die Prämie gemeint, die er dem Arbeitnehmer schuldet, wenn dessen Leistung über das hinausgeht, was mit dem normalen Arbeitslohn abgegolten ist.
Der Prämienanspruch gilt auch für Firmen, die kein institutionalisiertes Ideenmanagement haben. Er ist gerichtlich durchsetzbar, sobald ein Arbeitgeber den Verbesserungsvorschlag eines Arbeitnehmers verwertet, der die genannten Bedingungen erfüllt.
An dieser Stelle lohnt es sich, kurz innezuhalten. Tatsächlich entsteht der Prämienanspruch ja nur bei Vorschlägen, die „einen nicht unerheblichen Vorteil“ bewirken, was mit einer errechneten finanziellen Einsparung gleichgesetzt werden kann. Gemäß den Ergebnissen des „Kennzahlenvergleichs Ideenmanagement 2022“ trifft dies im Mittel auf 12% (Medianwert) der umgesetzten Vorschläge zu. /Wie häufig andere Anteile vorkommen, sehen Teilnehmer am Kennzahlenvergleich 2022 in Bild 41 auf Seite 23 ihres individuellen Ergebnisberichts./
Wenn ein Unternehmen darauf setzt, dass seine Mitarbeiter häufiger Verbesserungsvorschläge einreichen, von denen möglichst viele „einen nicht unerheblichen Vorteil“ bewirken, dann ist es nur intelligent, dafür eine grundsätzliche Regelung aufzustellen, damit nicht in jedem Einzelfall neu geklärt werden muss, welche Prämienhöhe angemessen ist. Diese Grundsätze sind dann mitbestimmungspflichtig.
Wie die Höhe einer Prämie zu bemessen ist, wird durch das BAG-Urteil aus dem Jahre 1965 nicht vorgegeben. Sie muss sich lediglich nach dem Grundsatz des „billigen Ermessens bei Bestimmung der Leistung durch eine Partei“ auf Basis von § 315 BGB richten. Was „billig“ – also im Sinne von angemessen, gerecht und fair „zu billigen“ – ist, kann danach abgeschätzt werden, in welchem Rahmen sich Prämienwerte üblicherweise bewegen.
- Gemäß den Ergebnissen des „Kennzahlenvergleichs Ideenmanagement 2023“ liegt der Anteil der gezahlten Prämie an der errechneten Einsparung bei der Hälfte der Teilnehmer zwischen 5% und 15%. Der Medianwert beträgt 11%. Dabei war nach den letztendlich ausbezahlten Beträgen gefragt worden, die nach der Anwendung eventueller mindernder Einflüsse übrigblieben (etwa zur Abgrenzung von der Arbeitsaufgabe, zur Berücksichtigung des Ausarbeitungsgrads oder durch Prämienobergrenzen).
- Die Ergebnisse weisen übrigens darauf hin, dass solche Minderungsfaktoren umso stärker zum Tragen kommen, je höher die Einsparung ist. /Mehr dazu finden Teilnehmer am Kennzahlenvergleich 2023 auf den Seiten 33-34 ihres individuellen Ergebnisberichts./
Reicht es dann nicht, lediglich für die „rechenbaren Vorschläge“ eine Prämienregelung vorzusehen? Wenn das Ideenmanagement ausdrücklich nur für diese offensteht: ja. Es gibt Unternehmen, die genau und ausschließlich dafür einen eigenen Kanal einrichten. Wenn aber auch „nicht-rechenbare“ Vorschläge willkommen sind, was in den meisten Unternehmen mit einem Ideenmanagement der Fall ist, und die, wie erwähnt, sogar im Mittel 88% aller Vorschläge ausmachen, dann könnte es demotivierend wirken, bei einem nicht-rechenbaren Nutzen unter Berufung auf das oben zitierte Mindestprinzip auf eine Prämierung dieser Vorschläge ganz zu verzichten. Wie das Praxisbeispiel zum Baustein „Flatrate“ im Blogbeitrag „Geschäftsmodelle für das Ideenmanagement – Teil 4: Geschäftsmodellentwicklung“ zeigt, ist es jedoch durchaus möglich, mit einer niedrigen Pauschale „den (Prämien-)Ball flach zu halten“.
Das Stichwort „Motivation“ führt über zur Frage „Wozu Prämien?“, also zur Frage, was man sich von Prämien verspricht (außer den Regeln des Anstands und den rechtlichen Vorgaben Genüge zu tun), welchen Zweck sie haben und welche Funktion sie erfüllen sollen. Daran schließt sich unmittelbar der nächste, weitaus schwieriger zu beantwortende Fragenkomplex an, wie Prämien- und Incentivesysteme gestaltet sein müssen, damit sie die typischen Zwecke erfüllen: also zu einer großen Anzahl von realisierten Verbesserungen und hohen Einsparungen beitragen.
Wozu Prämien?
Philosophisch-strategisches Grundverständnis: Bei der Gestaltung von Prämien- und Incentivesystemen sollte man sich zunächst darüber klar werden, was weshalb überhaupt prämiert werden soll. Prämien werden üblicherweise für zwei unterschiedliche „Leistungen“ zuerkannt: für erwünschtes Verhalten und für gewünschte Ergebnisse. Sie können mit verschiedenen Absichten zuerkannt werden: Als Anerkennung oder Belohnung für das bereits gezeigte, gewünschte Verhalten oder bewirkte Ergebnis; als Anreiz, Motiv oder „Köder“ für zukünftige Verhaltensweisen oder Wirkungen; als „Kaufpreis“, mit dem das Ergebnis „Sache des Unternehmens“ wird; als leistungsabhängiger Entgeltbestandteil oder als Erfolgsbeteiligung des Einreichers an dem von ihm bereits bewirkten Ergebnis. Diese Unterschiede hatte ich ausführlich in den „Modellen des Ideenmanagements“ (Stuttgart: Klett-Cotta, 2004) beschrieben.
Mit Prämien zu höheren Einsparungen: Im ergänzenden Benchmarking des „Kennzahlenvergleichs Ideenmanagement 2023“ haben 37 Prozent der Teilnehmer angegeben, auf Anreize durch Prämien zu setzen, um damit höhere Einsparungen oder eine bessere Vorschlagsqualität zu fördern. Etwa die Hälfte dieser Teilnehmer hat zudem angekreuzt, eine positive Wirkung festzustellen, und der Medianwert der Einsparungsquote ist in dieser Hälfte tatsächlich mit 157 €/MA etwas höher als in der Gesamtmenge aller Teilnehmer (126 €/MA). Die andere Hälfte hat dagegen nicht angekreuzt, eine Wirkung festzustellen, hier ist der Medianwert der Einsparungsquote mit 77 €/MA geringer als in der Gesamtmenge.
- Ob die tendenziell höheren Werte der Einsparungsquoten in der Hälfte mit angekreuzter Wirkung tatsächlich durch Prämienanreize verursacht wurden, lässt sich anhand des Kennzahlenvergleichs nicht entscheiden. Denkbar ist auch, dass diese Wirkung von den Teilnehmern lediglich zugeschrieben wird, aber überwiegend auf ganz andere Einflussfaktoren zurückging.
- Zudem sollten die Unterschiede der Medianwerte nicht überbewertet werden. Denn wie ein Blick auf die Boxplotdiagramme in Abbildung 1 zeigt, gibt es in beiden Hälften sowohl Unternehmen mit höheren als auch mit niedrigeren Einsparungsquoten.
- Während sich in der Hälfte „mit Wirkung“ etwas häufiger überdurchschnittliche Umsetzungsanteile finden (was als Indikator einer höheren Vorschlagsqualität interpretiert werden könnte), zeigen sich in der Vorschlagsquote keine signifikanten Unterschiede.

Abbildung 1: Vorschlagsquoten, Umsetzungsanteile und Einsparungsquoten in Unternehmen, die auf Anreize durch Prämien setzen, je nachdem, ob eine positive Wirkung angegeben wurde (links) oder nicht (rechts).
Nimmt man schließlich beide Hälften zusammen und vergleicht die Werte der Unternehmen, die auf Anreize durch Prämien setzen, mit denen, die das nicht tun, dann muss man feststellen, dass der Zusammenhang dieses Faktors mit anderen Kennzahlen im Mittel praktisch null ist. Dies ist in Abbildung 2 für die Vorschlagsquoten, Umsetzungsanteile und Einsparungsquoten gezeigt.

Abbildung 2: Vergleich der Vorschlagsquoten, Umsetzungsanteile und Einsparungsquoten zwischen Unternehmen, die auf Anreize durch Prämien setzen (links), und denen, die das nicht tun (rechts).
Wie lässt sich dieses (Negativ-)Ergebnis verstehen? In seinen Schriften „Motivation im BVW“ („Teil 1“, „Teil 2“, „Teil 3“: EUREKA impulse 2, 3, 5 /2012) hatte Koblank drei Voraussetzungen genannt, damit ein Mitarbeiter eine Idee vorschlägt: 1. die Existenz eines Problems oder Verbesserungspotenzials, 2. die Kreativität des Mitarbeiters im Sinne der Fähigkeit, das Problem oder Potenzial zu erkennen und eine Idee zu entwickeln („Können“), und 3. die Motivation des Mitarbeiters, die Idee als Vorschlag einzureichen („Wollen“). Damit kann das Ergebnis überspitzt wie folgt erklärt werden: Prämien vergrößern weder die Menge an Problemen oder Verbesserungspotenzialen, noch erhöhen sie die Fähigkeit von Mitarbeitern, die vorhandenen Probleme und Verbesserungspotenziale zu erkennen. Wenn es aber bereits an einer dieser zwei Voraussetzungen fehlt, nützt auch das stärkste „Wollen“ nicht. Statt mit Prämien am „Wollen“ anzusetzen, wäre es wohl wichtiger, das „Können“ zu fördern – und tatsächlich wird genau dies durch die Ergebnisse des „Kennzahlenvergleichs Ideenmanagement 2023“ nahegelegt (dazu in einem späteren Blogbeitrag mehr).
Motivation durch Prämien: Sind Prämien dann wenigstens geeignet, das „Wollen“ zu stärken, damit Vorschläge eingereicht werden, sobald die beiden anderen Voraussetzungen erfüllt sind? Klar dürfte sein, dass es realitätsfremd wäre, ausschließlich auf intrinsische Motivatoren zu setzen. Ebenso klar dürfte sein, dass geldwerte Prämien nicht alles sind, ganz unabhängig davon, ob sie als Teil des Entgelts gezahlt oder in Form von Sachprämien oder Gutscheinen vergeben werden.
- Fragt man Mitarbeiter direkt nach ihrer Motivation, Ideen einzureichen, wird deutlich, dass es eine Vielzahl weiterer Motivatoren gibt, die teilweise eine deutlich höhere Bedeutung als Prämien haben. Über entsprechende Ergebnisse von Mitarbeiterbefragungen hatte ich in den „Modellen des Ideenmanagements“ berichtet; sie reihen sich ein in Ergebnisse anderer Untersuchungen, die Koblank in Teil 2 der Schriften zur „Motivation im BVW“ zusammengestellt hat.
- Dieser Befund ist angesichts der Vielfalt an Motiven, die Menschen antreiben, nicht verwunderlich. Ob sich Motive, Werte und Bedürfnisse wie in der Maslowschen Bedürfnispyramide hierarchisch ordnen lassen oder ob es sinnvoller ist, sie (wie in Abbildung 4 des Blogbeitrags „Neuroideenmanagement 3 – das Gehirn als Lustsucher“ gezeigt) als potentiell gleichrangig zu behandeln, spielt hier keine Rolle. In jedem Fall ergibt sich als Schlussfolgerung für das Ideenmanagement, in seinen Marketingaktivitäten Prämien nicht in den Vordergrund zu stellen, sondern im Sinne von „Neuromarketing“ eine aktive Mitwirkung am Ideenmanagement mit möglichst vielen Motiven und Werten zu verknüpfen, die für verschiedene Menschen wichtig sind. Dadurch werden entsprechende Botschaften emotional bedeutsamer, sprechen das limbische System eher positiv an und prägen sich der bewussten Wahrnehmung besser ein.
Wenn man davon ausgeht, dass sich eine höhere Motivation in höheren Beteiligungs- und Vorschlagsquoten niederschlägt, ermöglichen nun die „Kennzahlenvergleiche Ideenmanagement“ Aussagen, ob und wie die Prämienhöhe oder bestimmte Regelungsvarianten mit der solcherart „gemessenen“ Motivation zusammenhängen.
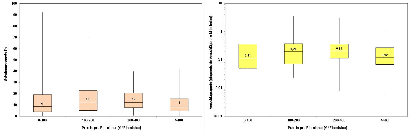
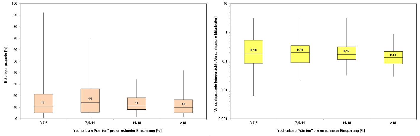
Mehr Vorschläge durch höhere Prämien: Als Anhaltspunkte für die „Großzügigkeit“ einer Prämienregelung habe ich zwei verschiedene Größen herangezogen: die durchschnittliche Prämie pro Einreicher (die allerdings auch von der Nutzenbewertung abhängt) und die für Vorschläge mit einer errechneten Einsparung durchschnittlich gezahlte Prämie pro Einsparung (die von der Nutzenbewertung unabhängig ist). Für beide Größen habe ich die Teilnehmer des Kennzahlenvergleichs 2023 in vier etwa gleichgroße Gruppen geteilt und die Beteiligungs- und Vorschlagsquoten verglichen. Wie Sie in den Abbildungen 3 und 4 sehen, sehen Sie nichts – jedenfalls nichts, was darauf hindeutet, dass man mit höheren Prämien mehr Vorschläge erhalten würde.

Abbildung 3: Vergleich der Beteiligungs- (links) und Vorschlagsquoten (rechts) für jeweils vier Gruppen, die nach verschiedenen Bereichen der Prämie pro Einreicher sortiert sind.

Abbildung 4: Vergleich der Beteiligungs- (links) und Vorschlagsquoten (rechts) für jeweils vier Gruppen, die nach verschiedenen Bereichen der „rechenbaren Prämie“ pro Einsparung sortiert sind.
Prämienhöhe in der Praxis: Selbst wenn die Höhe der Prämie keinen wesentlichen Einfluss auf die Motivation von Einreichern hat (gemessen an Beteiligungs- und Vorschlagsquoten), mag zur eigenen Orientierung ein Überblick hilfreich sein, wie hoch typischerweise die Prämien pro Mitarbeiter, pro Einreicher oder pro umgesetzten Vorschlag sind.
- Da nur Einreicher Prämien erhalten, macht es eigentlich wenig Sinn, die Summe der Prämien durch die Summe aller Mitarbeiter zu teilen. Man kommt dann zu ähnlich unsinnigen Ergebnissen wie in dem Beispiel der vier biertrinkenden Freunde, das ich am Ende des Blogbeitrags „Kennzahlen und Statistik für Zahlen- und Statistikhasser“ zitiert hatte.
- Da diese Verhältnisse jedoch häufig als Vergleichswerte angegeben werden, folgen hier für alle Größen die im „Kennzahlenvergleich Ideenmanagement 2023“ ermittelten Medianwerte: 24 Euro pro Mitarbeiter und 218 Euro pro Einreicher. Der Medianwert der Prämien pro umgesetzten Vorschlag betrug 349 Euro. /Wie häufig andere Werte vorkommen, sehen Teilnehmer am Kennzahlenvergleich 2023 in den Bildern 66, 67 und 69 auf den Seiten 27 bis 29 ihres individuellen Ergebnisberichts./
Anerkennungsprämien: Mit Intentionen irgendwo zwischen „Anerkennung für erwünschtes (wenn auch erfolgloses) Verhalten“ und „Trostpreis zum Erhalt der Motivation“ sehen viele Unternehmen Anerkennungsprämien für nicht umgesetzte Ideen vor. Von den Teilnehmern am „Kennzahlenvergleich Ideenmanagement 2022“ waren es 45 Prozent. Von den Teilnehmern am Kennzahlenvergleich 2023, die Angaben zur Prämienhöhe gemacht haben, haben 41 Prozent Anerkennungsprämien vergeben. Unabhängig davon, ob es sich um Gutscheine, Geld- oder Sachprämien handelte, betrug der Medianwert 13 € pro abgelehnter Idee. /Wie häufig andere Werte vorkommen, sehen Teilnehmer am Kennzahlenvergleich 2023 in Bild 75 auf Seite 32 ihres individuellen Ergebnisberichts./
- Sowohl für 2022 als auch für 2023 waren die Unterschiede der Kennzahlen zwischen den Gruppen „mit“ und „ohne“ Anerkennungsprämien so gering, dass Anerkennungsprämien kaum als Motivations- oder Erfolgsfaktor für ein Ideenmanagement relevant sein dürften.
Prämienobergrenzen: Im „Kennzahlenvergleich Ideenmanagement 2022“ hatte etwas mehr als die Hälfte der Teilnehmer angegeben, Prämien mit einer Obergrenze zu deckeln.
- In der Gruppe der Unternehmen, die der Prämienhöhe keine Obergrenze setzten, waren die Medianwerte für die Beteiligungs-, Vorschlags- und Umsetzungsquoten sowie für den Umsetzungsanteil deutlich höher als in Unternehmen mit einer Obergrenze.
- Dies mag einer höheren Anreizwirkung einer prinzipiell unbegrenzten Prämienhöhe zu verdanken sein. Mindestens ebenso wichtig könnte aber auch der Umstand sein, dass eine Prämienregelung ohne Obergrenze Ausdruck einer positiven Kultur und Denkweise ist, die dem Ideenmanagement insgesamt förderlich ist.
- In der Gruppe der Teilnehmer, die die „Attraktivität des Prämien- und Incentivesystems“ als Herausforderung bereits bewältigt hatten, boten mit 51 Prozent deutlich mehr Unternehmen unbegrenzte Prämien, während es in der Gruppe, die die Bewältigung dieser Herausforderung noch vor sich hat, nur 39 Prozent waren.
Während diese Ergebnisse eher dafür sprechen, auf Obergrenzen zu verzichten, gibt es jedoch auch Argumente, wozu sie gut sein könnten. Eines besteht darin, dass dann in juristischen Auseinandersetzungen der Streitwert höchstens den Wert der Maximalprämie haben kann. Dadurch bleibt das Risiko für das Unternehmen begrenzt, eventuell hohe Rückstellungen bilden zu müssen. Selbst wenn man davon ausginge, dass am Ende alle Prozesse gewonnen würden, könnten Unternehmen den Aufwand für das Risikomanagement und die Rückstellungen vermeiden wollen. Ein weiteres führt Koblank auf Seite 12 in seiner bereits genannten Schrift „Die rechtlichen Rahmenbedingungen des Ideenmanagements in Deutschland“ an. Durch das Ideenmanagement dürften die üblichen Entlohnungsgrundsätze nicht einfach auf den Kopf gestellt werden. Das würden sie aber, wenn Prämien Jahresgehälter von Experten um ein Vielfaches übersteigen, die laufend gleichwertige Ideen im Rahmen ihrer Arbeitsaufgabe entwickeln.
Arten der Prämien und Honorierung: Neben Geldprämien sehen viele Unternehmen auch andere Formen der Prämierung vor, beispielsweise Gutscheine, Gutschriften in Online-Prämienshops, Sachprämien oder Lose. Manche Unternehmen sehen auch nicht-ökonomische oder ideelle Honorierungen vor, etwa Zeit, besondere Würdigungen, Erlebnisse oder soziale Incentives. /Mehr zur Verbreitung und Wirkung dieser Varianten finden Teilnehmer am Kennzahlenvergleich 2022 auf den Seiten 26-28 ihres individuellen Ergebnisberichts./
Fazit
In Anreizsystemen für das Ideenmanagement haben Prämien ihren festen Platz, allerdings im Vergleich zu anderen Motivatoren nicht die höchste Bedeutung. Statistisch gesehen gibt es keinerlei Hinweise, dass (im Geldwert) höhere Prämien zu besseren Ergebnissen führen könnten, sehr wohl aber Anhaltspunkte für Einflüsse bestimmter Aspekte von Prämienarten und -regelungen.
Auch als Erfolgsfaktoren für hohe Einsparungen oder eine gute Vorschlagsqualität sind Anreize durch Prämien unsichere Kantonisten. Im Großen und Ganzen lassen sich keine Zusammenhänge mit wichtigen Kennzahlen des Ideenmanagements feststellen. Das schließt nicht aus, dass es Unternehmen gibt, in denen die gezielte Gestaltung des Prämien- und Incentivesystems ursächlich zu guten Vorschlägen und hohen Einsparungen beiträgt. Wie die Ergebnisse des „Kennzahlenvergleichs Ideenmanagement 2023“ zeigen, gibt es jedoch noch ganz andere Ansatzpunkte, bei denen wesentlich stärkere Zusammenhänge bestehen.
Lesen Sie dazu mehr in den nächsten Blogbeiträgen!
Gestalten Sie Prämienregelungen möglichst einfach und nachvollziehbar! Komplexität im Streben nach „Gerechtigkeit“ ist schädlicher als eine auf alle gleichermaßen wirkende „Ungerechtigkeit“ im Interesse der Zweckmäßigkeit!
Praxisbeispiele für Prämienregelungen und insbesondere auch für Bewertungssysteme für nicht-rechenbare Vorschläge finden Sie in folgenden Blogbeiträgen:
- Erfolgsfaktor 3/9 – Prozess: Organisation
- Best Practice Beispiel: Das Ideenmanagement bei Muhr und Bender
- Best Practice Beispiel: Das Ideenmanagement bei CeramTec
- Best Practice Beispiel: Das Ideenmanagement bei der LBBW
Erläuterungen zu Begriffen der Statistik (z.B. Median, Boxplotdiagramm, Korrelation) finden Sie im Blogbeitrag „Kennzahlen und Statistik für Zahlen- und Statistikhasser“.
Ein nach Stichworten sortiertes Verzeichnis mit Links auf alle bisher erschienenen Beiträge im Blog zum Ideenmanagement finden Sie in diesem Register.
Die Inhalte des Abschnitts „Warum Prämien?“ habe ich größtenteils aus der Schrift „Die rechtlichen Rahmenbedingungen des Ideenmanagements in Deutschland“ von Peter Koblank übernommen, zum Thema Motivation Anregungen aus den Schriften „Motivation im BVW“ („Teil 1“, „Teil 2“, „Teil 3“ aufgenommen. Für die Zustimmung zur Wiedergabe bedanke ich mich herzlich!
Alle Erwähnungen von Produkten und Unternehmen sind redaktioneller Natur und wurden nicht bezahlt.

Dr. Hartmut Neckel
Dr. Hartmut Neckel ist einer der profiliertesten Vordenker und erfahrensten Praktiker im Themenbereich Ideenmanagement, Innovation und kontinuierliche Verbesserungsprozesse.